|
角变位移方程 |
|
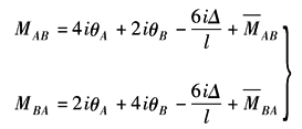
角变位移方程是刚架的杆端弯矩与变形的关系式。用位移法计算刚架,要直接或间接地应用角变位移方程;还有许多分析刚架的计算方法(如弯矩分配法、迭代法等)在其公式推导过程中也要运用角变位移方程 ① 正负号规定: 对于杆端弯矩,作用于杆端的弯矩沿顺时针方向者为正; 对于转角,节点转角(从杆轴原有位置量至杆端切线)沿顺时针方向旋转者为正; 对于线位移,线位移Δ的方向以使AB杆的连线沿顺时针方向旋转者为正(图1a所示为正)
图1 ② 两端均为固定的等截面杆件,在载荷及支座位移共同作用下(图1a),载荷及变形的状况可分解为四个部分,如图b、c、d、e所示。根据叠加原理,将这四部分叠加,即得该杆件的角变位移方程:
式中 θA,θB——分别为杆件A端和B端的转角; Δ——杆件A、B两端在垂直于杆轴方向的相对线位移;
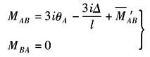
i——杆件的单位刚度, ③ 一端固定而另一端铰接的等截面杆件(图2)的角变位移方程为:
式中
图2 常见的等截面直杆杆端弯矩和剪力表。一端固定另一端铰支的等截面梁及双截面梁的杆端弯矩与剪力也可从表等截面柱的位移计算公式、表单阶柱的位移计算公式、表顶部铰支等截面柱的柱顶支座反力计算公式、表顶部铰支单阶柱的柱顶支座反力计算公式中推算出来 |




