|
计算步骤 |
|
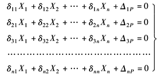
综合上述,力法是以多余内力或反力作为基本未知量,先求出各多余力,然后计算结构内任一截面的内力。用力法计算刚架,从选择基本结构开始,即从原结构上去掉多余联系,以得到一个静定的基本结构。步骤如下 ① 去掉原刚架(图1a)的多余联系,代以相应的多余力,使原超静定刚架变成静定的基本结构(图1b)。所选择的基本结构应使计算力求简便 ② 根据基本结构在载荷及多余力的共同作用下具有与原结构相同变形的原理,利用已知的变形条件列出力法典型方程组。对于n次超静定的结构,由于具有n个多余联系,而对应于每一个去掉多余联系的地方又都有一个已知的变形条件,故可列出n个力法典型方程式,即
式中 Xi——代替被去掉的多余联系的多余力(i=1、2、3、…、n); δik——由于多余力Xk=1的作用,使基本结构在多余力Xi方向产生的变位,其中,两个脚标相同的变位(δ11、δ22、δ33、…、δnn)称为主变位,其余的变位(δ12、δ13、…、δ1n)称为副变位,且δik=δki; ΔiP——由于载荷P的作用,使基本结构在多余力Xi方向产生的变位,称为自由项
图1 ③ 按照静定结构求变位的方法求得公式(1)中的自由项、主变位及副变位。对于刚架来说,一般计算变位时只考虑弯矩一项,而忽略剪力及轴向力的影响,且常应用图形相乘法求得(详见表图乘公式):
④ 将求得的自由项、主变位及副变位代入力法典型方程组式(1),即可算出各多余力X1、X2、…、Xn ⑤ 按计算静定结构内力的方法,求出截面的内力,并绘制刚架在载荷及多余力共同作用下的内力图(弯矩图、剪力图及轴向力图): a.弯矩图 绘制基本结构在载荷及多余力共同作用下的弯矩图时不必注明正负号,但必须绘在杆件受拉的一面 如图2a所示的结构,在计算其各截面的弯矩时,从自由端处的作用力W算起较为方便。从A点直到C点只考虑W的作用,在C点以右还应考虑均布载荷的作用,得
弯矩图如图2b
图2 b.剪力图 杆件截面上的剪力Q为该截面的任一侧所有外力沿该截面方向投影的代数和。剪力图必须注明正负号,剪力图可绘在杆件的任一面 杆端剪力:对邻近截面所产生的力矩沿顺时针方向者为正 图3a所示的刚架,其弯矩图如图3b。取出梁AB作为与其他构件无关的单跨梁(图4a),则该梁杆端剪力:
式中 MAB,MBA——作用于杆端的弯矩,沿顺时针方向者为正;
图3 c.轴向力图 在绘出剪力图后,将刚架的各节点分别截取出来,把作用于该节点上的载荷、轴向力及已求得的剪力都加上去,应用静力平衡条件即可求得各未知的轴向力 轴向力图需注明正负号,通常将轴向压力作为正。轴向力图可绘在杆件的任一面 图3所示的刚架,对于节点A(图5a),由平衡条件得:NAB=QAD,NAD=QAB,轴向力图见图5b
图4 图5 |









