|
简化计算的处理 |
|
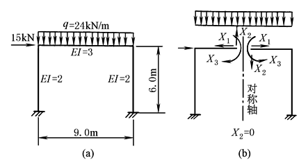
刚架常是多次超静定的结构,力法典型方程的未知数将随多余联系数目的增加而增多,计算工作量也将迅速增加。为缩短计算时间,同时也提高计算的精确度,应尽量简化计算工作。简化计算的主要手段是使力法典型方程组中尽可能多的副变位等于零。使某些副变位等于零的主要措施是合理地选择基本结构,也就是恰当地选择多余力 ① 利用刚架的对称性。对称刚架是指刚架的几何形状对某一几何轴对称,而且支承条件、杆件截面及弹性模量对此轴也是对称的刚架 a.选取对称多余力及反对称多余力。两个力在对称轴两边作用点对称、数值相等且方向也对称者称为对称力;两个力在对称轴两边作用点对称、数值相等而方向反对称者称为反对称力。图1a所示的刚架有一个对称轴,将其沿对称轴上横梁的中间截面切开,则X1及X3为对称多余力,X2为反对称多余力(图1b)
图1 对称多余力在反对称多余力方向引起的变位等于零,反对称多余力在对称多余力方向引起的变位也等于零。所以,在计算对称刚架时,如在选取的多余力当中有一部分是对称的,而另一部分是反对称的,则可简化力法典型方程组 b.将载荷分为对称载荷及反对称载荷,并分别计算。图2a所示的刚架承受的载荷可分解为对称载荷(图2b)及反对称载荷(图2c)两部分,分别进行计算,然后将内力图叠加 对称载荷在基本结构上所产生的弯矩图MP'是对称的;反对称载荷所产生的弯矩图MP" 则是反对称的 在对称载荷作用下,反对称多余力等于零;在反对称载荷作用下,对称多余力也等于零
图2 ② 选择基本结构使单位弯矩图限于局部。在计算多跨刚架时,若将基本结构分为几个独立的部分,此时,单位弯矩图仅限于局部而互相分开,因而使许多副变位等于零 ③ 使用组合多余力。组合多余力是单独的多余力的线性组合。使用组合多余力可扩大简化计算的应用范围 a.在多跨对称刚架中使用对称的及反对称的组合多余力。图3a所示的多跨对称刚架的基本结构(图3b)中有4个组合多余力:X1为一对数值相等而方向相反的水平力;X2为一对数值相等而方向相同的水平力;X3为一对数值相等而方向相同的竖向力;X4为一对数值相等而方向相反的竖向力。X1及X3是对称多余力,X2及X4是反对称多余力,则
图3
力法典型方程简化为两组: 及 b.还可以应用组合多余力使基本结构的单位弯矩图限于局部,请参阅结构力学 |




