|
超静定桁架的计算 |
|
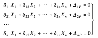
超静定桁架是桁架中有多余约束(多余联系,超过静定所必需的杆件与连接)的桁架。多余约束可以是内部杆件也可以是外部支座,或二者都有 机架采用超静定形式桁架往往是为了结构的需要,使机架更为稳定,或考虑到载荷的方向变化。在计算的时候,往往可以将多余的次要杆件去掉不计,这样计算就方便得多了 如果一定要按超静定桁架计算时,则一般采用力法来计算其杆件内力或支座反力。计算步骤及方法如下 ① 去掉多余约束,确定基本结构,以多余的未知力Xi来代替相应的多余约束 ② 建立力法的典型方程 设δii为基本结构中单位未知力 ΔiP为基本结构中由于载荷P作用时(或其他原因如温度变化等)所引起的沿 则典型方程组为:
由于桁架中各杆件只产生轴向力,故典型方程中的各系数按莫尔公式为
当桁架只承受载荷时
当桁架只有温度改变时
式中 A——桁架杆的截面积; l——杆长; E——材料的弹性模量; α——杆的热线胀系数; t——温度改变量;
NP——在基本结构中由外载荷P产生的各杆件内力 为此,必须作出基本结构的各单位内力图和载荷内力图,然后计算典型方程组中的各系数和自由项 ③ 解典型方程式,求出各多余内力Xi ④ 由叠加原理求出最后内力或绘出最后内力图。桁架各杆件的最后内力为
在选择基本结构时,应尽量使在单位力或载荷的作用下,基本结构中有较多杆件的轴力为零,以简化典型方程组的求解 |



