|
举例 |
|
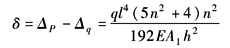
例1 如图1桁架,用牵绳在K点拉住,求其端部的挠度 由表几种桁架的挠度计算公式中式(1)算得P力的挠度ΔP;由表几种桁架的挠度计算公式中式(4)算得均布载荷q的挠度Δq;由平衡条件算得牵绳拉力R,再将R分解为垂直力R1和水平力R2,如R1不在结点上,可再分解为R'1、R"1。再用表几种桁架的挠度计算公式中式(2)求Δk(R'1引起)及Δk(R"1引起);同样,再用表几种桁架的挠度计算公式中公式(3)求水平力R2引起的挠度ΔR;以上各挠度相加(考虑正反相减)即得总挠度
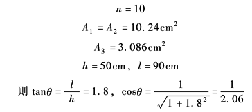
图1 例2 图2为一带式输送机的悬臂桁架,求在图示载荷作用下,悬臂的刚度是否符合要求 因为OO' 固定(铰接)于行走机械的机架上,油缸可以动作以保证带输出端位置,挠度的计算应该是n点相对于OO' 连线的向下位移量。则
图2 带式输送机悬臂桁架 桁架有两侧,空载时抬起,Pk、Pn为滚筒等重力:
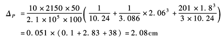
运用表几种桁架的挠度计算公式中式(1)~式(4)得 集中力Pn引起的变形量(以cm作单位代入,下同):
集中力Pk引起的变形量:
集中力R引起的向上的变形量(方向向上):
均布载荷q引起的变形量:
总挠度为
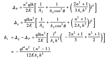
悬臂长9m,挠度为全长的 合要求 例3 用悬臂桁架挠度计算公式来计算图3a简支梁的挠度 将图a变换成图b,用悬臂梁见表几种桁架的挠度计算公式中式(1)~式(4)计算挠度。令桁架中线为O1O'1 由Pn=n1ql,代入表几种桁架的挠度计算公式中式(1)得
由表几种桁架的挠度计算公式中式(4)得
悬臂梁中点的挠度(略去较小的前两项,以
图3 如果用n节间悬臂梁的计算公式来计算上梁n点对OO' 的变位量,则可以求得:
请注意,上式算得的是图4所示的δ1,而非n点的挠度
图4 例4 以上的挠度计算是相对于OO' 线的位置,如要使OO' 保持垂直,则桁架要转动。如果所要求的是k点(k表示R力所作用的节间数)不动时的桁架挠度,如图5所示,OO' 线是歪斜的,此时的挠度可用下面两种方法求得 (1)令δn,n为n点作用单位力Pn=1时n点的变形; δk,n为n点作用单位力Pn=1时k点的变形; δn,k为k点作用单位力Pk=1时n点的变形; δk,k为k点作用单位力Pk=1时k点的变形 由表几种桁架的挠度计算公式中式(2),则
由表几种桁架的挠度计算公式中式(1),得
当n改为k后,即
当只在n点有作用力时,n点的挠度为
而此时,k点实际移动了
如要求k点不动,须k点移回δk,则n点必定上升
故由于OO' 倾斜及k点不动,实际使n点的挠度等于式(a)-式(c)(见图5):
式(b)代入后,得
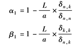
式(d)与式(a)比较,只多两个系数,即
当只考虑端部n处有载荷时
因δk,k、δn,n中起主要作用的是第三项,约与k3及n3成正比 或由式(d)
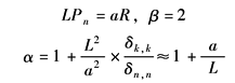
式中 (2)为简便起见,从表几种桁架的挠度计算公式中式(1)、式(4)可看出,端点挠度基本上与外力(P或qln)成正比,和(nl)3成正比。从表几种桁架的挠度计算公式中式(1)~式(4)的第三项起主要作用考虑,设按计算得的n点的总挠度是Δn',则R力作用点的挠度约为:
R力位置不变,上升δR,n点挠度则减少
图5 |




















