|
几种桁架的挠度计算公式 |
|
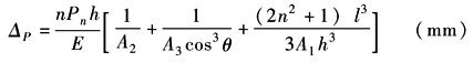
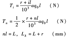
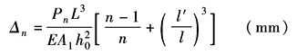
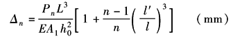
桁架的受力分析计算一般可在手册中查到。而机架结构设计则主要有足够的刚度要求,必须进行挠度的计算以校核其刚度是否足够,但一般手册中都无现成的数表或公式可查。为便于读者使用,将编者工作中所推导的常用的一些等节间桁架的挠度计算公式推荐如下,推导的过程从略。空腹桁架挠度计算公式见表空腹框架的计算公式 (1)集中力产生的挠度(图1) 1)在点n作用有Pn时的挠度
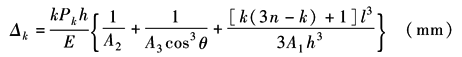
2)在点k作用有Pk时n点的挠度
3)在点k作用有水平力Rk引起的n点挠度
式中 A1——上下弦杆的截面面积,mm2; A2——竖杆的截面面积,mm2; A3——斜杆的截面面积,mm2; E——弹性模数,MPa; Pn,Pk,Rk——集中力, N;h,l——长度,mm 对于斜杆方向与图示方向相反(即自左上角向右下角倾斜)的桁架,上述公式中仅差竖杆n未计算,因影响很小,同样可用上述公式计算
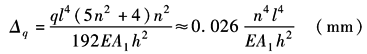
图1 4)如果要计算作用在n点的力P在任意点k所产生的挠度,则根据位移互等原理,该挠度等于力P作用在k点所产生的n点的挠度。因此可以用式(2)来计算 (2)均布载荷产生的悬臂桁架的挠度(图2) n点的挠度
式中 q——均布载荷,N/mm; 其他符号意义同前
图2 l—节间长度;n—节间数 (3)简支桁架的挠度(图3) 由均布载荷产生的中点挠度
式中各符号意义同前
图3 l—节间长度;n—节间数 这种桁架受集中力作用时,如为对称载荷,可将此桁架分解为两个悬臂桁架(从桁架中点分开),则节点数为n1=n/2。然后按式(1)或式(2)计算该半桁架(悬臂桁架),由支座反力R及该悬臂桁架上的集中载荷作用引起的挠度,代数相加即可 (4)桁架旋转时动力加速度引起的挠度(图4)
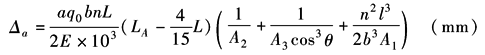
图4 对于集中质量,加速度求出来后,集中力即可求得,此集中力引起的挠度按式(1)或式(2)计算即可。均布质量的计算则因距旋转中心的距离不同而加速度呈梯形分布(图4)。设桁架绕机器中心作角加速度a(rad/s2)旋转,则: n点挠度
当n≥10时,式(5)可简化为:
惯性力是按下式计算的:
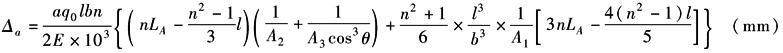
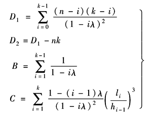
式中 q0——均布质量,kg/mm (5)豪式屋架形桁架(图5)
图5 以图5中O、O' 为铰接支点,n点的挠度计算公式如下: 由集中力Pn产生的n点挠度
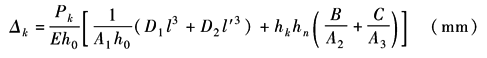
由k点作用集中力Pk产生的n点挠度
由均布载荷q引起的n点挠度
式中 l——每节间长,mm; l'——上弦杆每节间长(斜长),mm; n——节间数,桁架为等节间的; A1——上、下弦杆的截面积,mm2 (6)倒豪式屋架形桁架(图6)
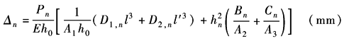
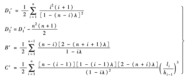
图6 倒豪式屋架是常用的桁架结构,以O、O' 为铰接支点,计算公式如下: 由集中力Pn引起的n点的挠度
由k点作用集中力Pk引起的n点的挠度
由均布载荷q引起的n点的挠度
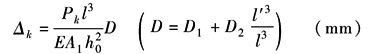
式中,D含义同前 (7)斜桁架(图7)
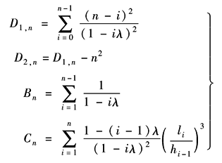
图7 挠度公式可化简成如下的中间形式: 由集中力Pn引起的n点挠度
由k点作用集中力Pk引起的n点的挠度
可粗略地按
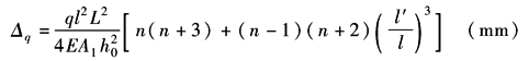
由均布载荷q引起的n点的挠度
n≥10时 其中,令λ=l/L0,
|






























