|
代替法 |
|
代替法或通路法都是用于计算复杂桁架的。在桁架中有许多结点处有三根杆件相交于一点,在无法用结点法或截面法来分析桁架内力时,可用代替法。不必解许多未知数的方程组,只需设法求出桁架杆件中某一杆的内力,则其他各杆的内力就容易算出了 现举例说明如下 为了计算(图1a)某一杆14的内力X,可将杆件14自桁架中截出,成为两个自由体(图1b)。于是杆件14的内力X即作为外力而出现在截断处。这种做法,并不改变桁架的静力平衡条件,当然也不影响各杆的内力;然而,就桁架的几何图形来说,它变成为一个具有自由度的机构,因此是不稳定的。为了要恢复桁架图形的稳定性,必须添上一根杆件,如图1b中的杆件35。如果,在外力P与X的共同作用下,增添的杆件35的内力等于零,则改变之后的桁架(图1b)非但是稳定的,而且各杆的受力情形也是与原桁架(图1a)完全相同的。代替桁架必须是稳定的桁架,并且为了易于计算代替杆内的内力,因此它常常是一个简单桁架。很明显,代替杆的插入,必须不改变桁架结点的数目
图1 计算代替桁架的内力方法如图2所示,计算P作用下35杆的内力 即 式中,
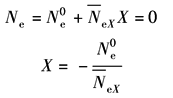
图2 其他杆件的内力Ni可以由原桁架的X力已知而求出,或仍由代替桁架的内力由P及X作用叠加:
式中
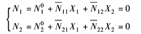
在更复杂的桁架中,有时需要撤换二根或更多的杆件。例如于图3a所示桁架中,如果撤换两根杆件14与25,而以杆件13与35来代替(图3b),则有两个条件N1=0与N2=0,以求解两个未知数X1与X2:
由联立方程式可得未知数X1与X2。公式中符号的意义示于图3
图3 桁架构件受压稳定性计算长度见表桁架构件的计算长度的计算长度 |





