|
混合法 |
|
|
在比较复杂的桁架中,欲求某一杆件的内力,常常需要把结点法与截面法混合起来使用,或者一个方法需要连续使用几次 |
|
|
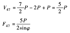
右图为一多重腹杆桁架,欲求其中的杆件47的内力F47。作截面①-①,切断四根杆件,显然不能直接求得F47的内力。如果用投影法求F47,那么就必须先算出F36。后者可于结点1和6处连续应用结点法二次而求得其垂直分力为V36=-P。于是作截面①-①,用投影法得其垂直分力为
|
|
|
混合法 |
|
|
在比较复杂的桁架中,欲求某一杆件的内力,常常需要把结点法与截面法混合起来使用,或者一个方法需要连续使用几次 |
|
|
右图为一多重腹杆桁架,欲求其中的杆件47的内力F47。作截面①-①,切断四根杆件,显然不能直接求得F47的内力。如果用投影法求F47,那么就必须先算出F36。后者可于结点1和6处连续应用结点法二次而求得其垂直分力为V36=-P。于是作截面①-①,用投影法得其垂直分力为
|
|