|
截面法(用力矩平衡法计算) |
|
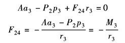
如下图所示,求杆24、34、35的内力F24、F34和F35
作截面①-①,切断欲求内力的三根杆件,取截面的左边部分为自由体(图c),并在自由体上,除了反力和载荷外,还画上未知内力。这些内力在未求得其有向值以前,均假定为拉力。如果所得的结果为负值,则表明这个内力为压力。以杆件34和35的交点为力矩中心,写出∑M3=0,得: 或 同样,可以求得其他两根杆件的内力。以结点4为力矩中心,用∑M4=0,得: 或 以杆件24和35的交点K为力矩中心,用∑Mk=0,得 或 力矩中心K落在跨度之外;力矩Mk是可正可负的,它的正负决定了杆件F34是否受拉或受压 |




