|
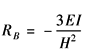
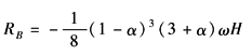
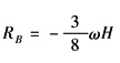
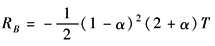
顶部铰支等截面柱的柱顶支座反力计算公式 |
||||||
|
|
α——力作用点的距离(自柱顶点算起)与柱高之比 |
|||||
|
序号 |
变形或载荷图形 |
柱顶支座反力 |
序号 |
变形或载荷图形 |
柱顶支座反力 |
|
|
1 |
|
|
6 |
|
|
|
|
2 |
|
|
||||
|
7 |
|
|
||||
|
3 |
|
|
||||
|
8 |
|
|
||||
|
4 |
|
|
||||
|
9 |
|
|
||||
|
5 |
|
|
||||














