|
顶部铰支单阶柱的柱顶支座反力计算公式 |
||
|
|
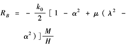
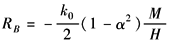
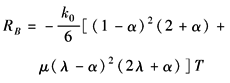
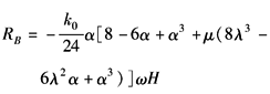
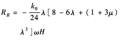
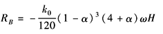
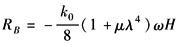
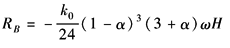
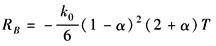
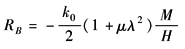
α——力作用点的距离(自柱顶点算起)与柱高之比; β——变形点的距离(自柱顶点算起)与柱高之比; λ——单阶柱变截面点到顶点距离与柱高之比; n——两截面惯性矩之比 |
|
|
序号 |
变形或载荷图形 |
柱顶支座反力 |
|
1 |
|
|
|
2 |
|
|
|
3 |
|
|
|
4 |
|
|
|
5 |
|
|
|
6 |
|
|
|
7 |
|
|
|
8 |
|
|
|
9 |
|
|
|
10 |
|
|
|
11 |
|
|
|
12 |
|
|
|
13 |
|
|
|
14 |
|
|
|
15 |
|
|























