|
单阶柱的位移计算公式 |
||||
|
|
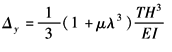
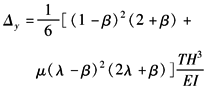
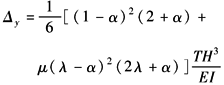
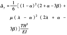
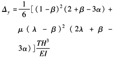
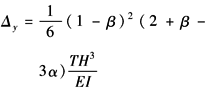
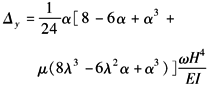
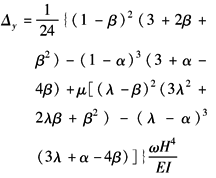
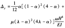
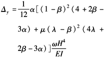
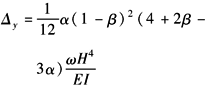
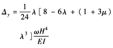
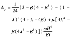
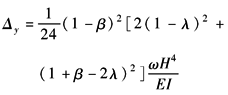
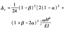
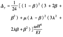
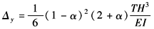
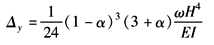
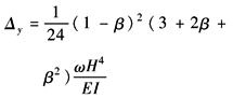
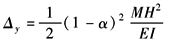
α——力作用点的距离(自柱顶点算起)与柱高之比; β——变形点的距离(自柱顶点算起)与柱高之比; λ——单阶柱变截面点到顶点距离与柱高之比; n——两截面惯性矩之比 |
|||
|
序号 |
载荷图形 |
y点的位置 |
y点的位移 |
|
|
1 |
|
β=0 |
|
|
|
β<λ |
|
|||
|
β=λ |
|
|||
|
β>λ |
|
|||
|
2 |
α<λ
|
β=0 |
|
|
|
β<α |
|
|||
|
β=0 |
|
|||
|
α<β<λ |
|
|||
|
β=λ |
|
|||
|
β>λ |
|
|||
|
3 |
α=λ
|
β=0 |
|
|
|
β<λ |
|
|||
|
β=λ |
|
|||
|
β>λ |
|
|||
|
4 |
α>λ
|
β=0 |
|
|
|
β<λ |
|
|||
|
β=λ |
|
|||
|
λ<β<α |
|
|||
|
β=α |
|
|||
|
β>α |
|
|||
|
5 |
|
β=0 |
|
|
|
β<λ |
|
|||
|
β=λ |
|
|||
|
β>λ |
|
|||
|
6 |
α<λ
|
β=0 |
|
|
|
β<α |
|
|||
|
β=α |
|
|||
|
α<β<λ |
|
|||
|
β=λ |
|
|||
|
β>λ |
|
|||
|
7 |
α=λ
|
β=0 |
|
|
|
β<λ |
|
|||
|
β=λ |
|
|||
|
β>λ |
|
|||
|
8 |
α>λ
|
β=0 |
|
|
|
β<λ |
|
|||
|
β=λ |
|
|||
|
λ<β<α |
|
|||
|
β=α |
|
|||
|
β>α |
|
|||
|
9 |
α<λ
|
β=0 |
|
|
|
β<α |
|
|||
|
β=α |
|
|||
|
α<β<λ |
|
|||
|
β=λ |
|
|||
|
β>λ |
|
|||
|
10 |
|
β=0 |
|
|
|
β<λ |
|
|||
|
β=λ |
|
|||
|
β>λ |
|
|||
|
11 |
|
β=0 |
|
|
|
β<λ |
|
|||
|
β=λ |
|
|||
|
β>λ |
|
|||
|
12 |
α>λ
|
β=0 |
|
|
|
β<λ |
|
|||
|
β=λ |
|
|||
|
λ<β<α |
|
|||
|
β=α |
|
|||
|
β>α |
|
|||
|
13 |
|
β=0 |
|
|
|
β<λ |
|
|||
|
β=λ |
|
|||
|
β>λ |
|
|||

























































