|
等截面柱的位移计算公式 |
|||||
|
|
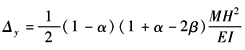
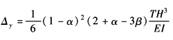
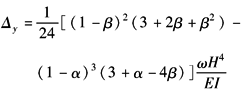
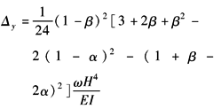
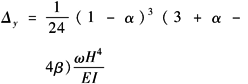
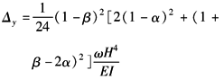
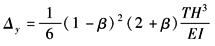
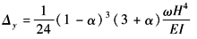
α——力作用点的距离(自柱顶点算起)与柱高之比; β——变形点的距离(自柱顶点算起)与柱高之比 |
||||
|
序号 |
载荷图形 |
y点的位置 |
y点的位移 |
||
|
1 |
|
β=0 |
|
||
|
β<1 |
|
||||
|
2 |
|
β=0 |
|
||
|
β<α |
|
||||
|
β=α |
|
||||
|
β>α |
|
||||
|
3 |
|
β=0 |
|
||
|
β<1 |
|
||||
|
4 |
|
β=0 |
|
||
|
β<α |
|
||||
|
β=α |
|
||||
|
β>α |
|
||||
|
5 |
|
β=0 |
|
||
|
β<α |
|
||||
|
β=α |
|
||||
|
β>α |
|
||||
|
6 |
|
β=0 |
|
||
|
β<α |
|
||||
|
β=α |
|
||||
|
β>α |
|
||||
|
7 |
|
β=0 |
|
||
|
β<1 |
|
||||
|
|||||














