|
特殊情况 |
|
在特种情况下,例如,考虑到起重机吊臂端部有变幅拉臂钢丝绳或起升钢丝绳的有利影响,吊臂在回转平面内的计算长度还要考虑长度系数,按式(1)计算:
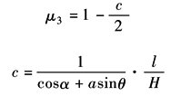
式中 μ3——由于拉臂钢丝绳或起升钢丝绳影响的长度系数。当吊臂由拉臂钢丝绳变幅时(图a),长度系数可由式(2)求得。若计算值小于1/2时,则μ3取1/2
当吊臂由变幅油缸变幅时(图b),起升绳影响的长度系数可由式(3)求得:
式中 a——起升滑轮组倍率; l——吊臂长度; θ,α,A,B,H——几何尺寸,见下图
|
|
特殊情况 |
|
在特种情况下,例如,考虑到起重机吊臂端部有变幅拉臂钢丝绳或起升钢丝绳的有利影响,吊臂在回转平面内的计算长度还要考虑长度系数,按式(1)计算:
式中 μ3——由于拉臂钢丝绳或起升钢丝绳影响的长度系数。当吊臂由拉臂钢丝绳变幅时(图a),长度系数可由式(2)求得。若计算值小于1/2时,则μ3取1/2
当吊臂由变幅油缸变幅时(图b),起升绳影响的长度系数可由式(3)求得:
式中 a——起升滑轮组倍率; l——吊臂长度; θ,α,A,B,H——几何尺寸,见下图
|