|
轴系临界转速修改设计 |
||
|
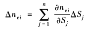
当按初步设计图纸提出简化临界转速力学模型,用特征值数值计算方法求出各阶临界转速及对应的振型矢量以后。如发现某阶临界转速nci与轴系的工作转速接近,立即将计算得到的第i阶振型矢量进行正规化处理,即按表多自由度系统自由振动模型参数及其特性中7的公式,求得正规化因子μi,用μi去除振型矢量的各个值。然后利用轴系同步正向涡动的特征方程导出的第i阶临界转速对参数Sj的敏感度公式(见下表),并给出参数微小变化量ΔSj(通常<20%),计算出引起临界转速的变化量。通过对各种参数改变计算结果的比较,优化组合,选出最佳参数修改组合,对轴系临界转速进行修改设计。如果轴系有n个参数Sj同时有微小变化(j=1,2,…,n),改变量分别为ΔSj,轴系第i阶临界转速的相对改变量:
参数修改后轴系的第i阶临界转速:
结合下图所示系统实例,按三组不同参数变化组合,用敏感度公式计算轴系的一、二阶临界转速,计算结果列于表特征值数值计算实例中a、b表中。将该计算结果与用QR法计算结果的比较,可以看出用该方法进行修改设计的可靠性
发电机转子模型 |
||
|
临界转速对各种参数的敏感度计算公式 |
||
|
改变参数的前提 |
敏感度计算公式 |
敏感度说明 |
|
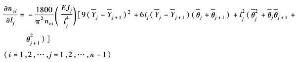
设Sj=EJj,即考虑系统第j段轴的抗弯刚度有微小变化,但对该段轴两端的质量影响不大,并忽略不计 |
|
|
|
设Sj=lj,即考虑第j段轴的长度有微小变化,但对该段轴两端的质量影响不大,并忽略不计 |
|
|
|
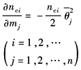
设Sj=mj,即考虑第j个圆盘的质量有微小变化,但不计由此引起圆盘转动惯量的变化 |
|
敏感度为负值,说明质量增加,nci将下降;如果振型中 |
|
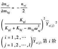
设Sj=mbj,即考虑第j个轴承座的等效质量有微小变化 |
正规振型中对应第j个支承轴质点S(j)的挠度值 |
等效质量mbj增加,临界转速nci下降 |
|
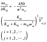
设Sj=Kbj,即考虑第j个轴承座的等效静刚度有微小变化 |
|
|
|
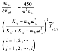
设Sj=Kpj,即考虑第j个轴承油膜刚度有微小变化 |
|
油膜刚度增加,临界转速上升 |
|
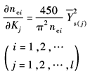
设Sj=Kj,即支承为刚度系数为Kj弹性支承,刚度有微小变化时 |
|
支承刚度增加,临界转速上升 |









