|
轴系临界转速组合设计 |
|||||
|
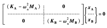
转子系统经常是由多个转子组合而成。组合转子系统和各单个转子的临界转速间既有区别又有联系,其间存在一定的规律。这种联系就是各轴系具有相同形式的特征方程。设A、B为两个不同的转子,如图1a所示,各转子分别有r及s个圆盘,为简单起见,设各支承为等刚度支承,这一组合系统的特征值方程:
式中
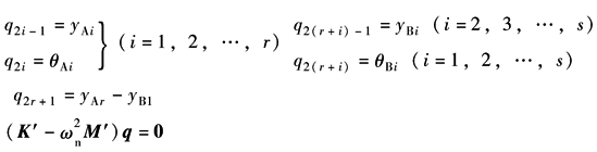
KA、KB、MA、MB分别为A、B两个转子的刚度矩阵和质量矩阵。 当对系统坐标进行如下线性变换:
式中 q=[q1,q2,…,q2(r+s)]T 系统的频率方程:
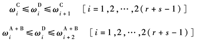
线性变换不改变系统的特性值。现将A、B两转子端部铰接成图1b所示的系统C,由连续性条件yAr=yB1决定q2r+1=0,系统C的频率方程实际上就是式(1)划去2r+1行和2r+1列的行列式Δ2r+1(ω2n)=0。由频率方程根的可分离定理知,系统C的临界角速度应界于在原系统A和B各临界角速度之间,这是组合系统与各单个转子临界角速度间的一条重要规律。同理再将系统C的铰接改为图1c所示的刚性连接系统D作同样变换,又会得出D系统的临界角速度界于在C系统各临界角速度之间。综合以上结果,这一重要规律可概括为:如果将组合前各系统的所有阶临界角速度混在一起由小到大排列:
则按C系统组合后第i阶临界转速与组合前临界转速之间的关系为
按D系统组合后临界转速与组合前临界转速关系为 所以
图1 轴系组合模型 现以20万千瓦汽轮发电机组为例,组合前后都用数值计算方法计算系统低于3600r/min的各阶固有频率及振型矢量,临界转速的计算结果列于下表,组合后的各阶振型如图2所示 计算结果也验证了机组的临界转速界于各单机临界转速间,这就使得在设计中,有可能根据各个转子的临界转速去估计机组的临界转速的分布情况,也有助于判断机组临界转速计算结果是否合理,有无遗漏等。由图2中各阶主振型可以看出,机组的一阶主振型,发电机振动显著,其他转子振动相对较小,所以称一阶主振型为发电机转子型,这一结果对现场测试布点具有重要意义
图2 机组转子的振型 |
|||||
|
单个转子和机组转子的临界转速 r·min-1 |
|||||
|
|
nc1 |
nc2 |
nc3 |
nc4 |
nc5 |
|
发电机转子型 |
中压转子型 |
高压转子型 |
低压转子型 |
发电机转子型 |
|
|
单个转子 |
943 |
1221 |
1693 |
1740 |
2654 |
|
机组转子 |
1002 |
1470 |
1936 |
2014 |
2678 |






