|
主振系统的动力平衡 |
|||
|
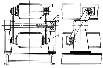
对于如表主振系统的动力参数中图b和表主振系统的动力参数中图2所示的直线振动机,可采用图1所示的动力平衡机构。两质体之间有如图2所示的橡胶铰链式导向杆,整个机器通过此导向杆的中间铰链与刚性底座或弹性底座固定。工作时,两质体绕导向杆中间摆动,两质体运动方向相反,惯性力方向也相反。当两质体质量相等时,两惯性力可以获得平衡。实际上,两质体的质量及其中的物料的质量很难完全相等,所以,还有一部分未平衡的惯性力传给基础。如基础能够承受,就采用图1a所示刚性底座形式。如果承受不了,还可采用图1b的形式,进一步减振
图1 平衡式近共振类振动机
图2 平衡式振动输送机的橡胶铰链式导向杆 1—两端橡胶铰链;2—滑块;3—中间橡胶铰链;4—支座 如果表主振系统的动力参数中图b和表主振系统的动力参数中图2a所示的振动机是一个有弹性支座的单槽振动输送机,采取上述动力平衡措施后,动力特性也有相应变化,其诱导质量和相对振幅计算公式见下表 |
|||
|
诱导质量和相对振幅计算表 |
|||
|
振动机形式 |
弹性底座单槽振动输送机 |
双槽振动输送机 |
|
|
刚性底座 |
弹性底座 |
||
|
空载诱导质量 |
|
|
|
|
有载诱导质量 |
|
|
|
|
相对振幅 |
|
|
|
|
说明 |
|
|
|








