|
激振器动力参数设计 |
||
|
项目 |
计算公式 |
参数选择 |
|
连杆受力最小条件 |
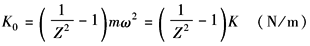
主振弹簧刚度
|
当频率比Z按空载条件选取时,m也按空载计算,即按Kmmm=0计算 |
|
连杆弹簧刚度 |
|
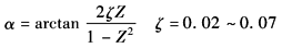
空载(Kmmm=0)条件下,线性振动机取Z=0.82~0.88,非线性振动机取Z=0.85~0.92 |
|
曲柄半径 |
|
|
|
名义激振力 |
|
|
|
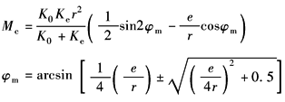
最大启动力矩(按静刚度计算) |
线性振动机
对间隙弹簧非线性振动机
|
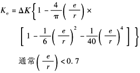
K0——连杆弹簧刚度,N/m K——主振弹簧刚度,N/m r——曲柄半径,m Ke——间隙弹簧等效线性刚度,N/m
ΔK——间隙弹簧刚度,N/m e——间隙 |
|
电机功率 |
按启动力矩计算
正常工作时的功率
|
Kc——启动转矩系数,考虑到Mc未乘安全系数,通常取Kc=1.2~1.5 η——传动效率,通常取η=0.9~0.95 正常工作时功率也可按表激振器动力参数设计计算 |
|
连杆所受最大力 |
|
|




