|
主振系统的动力参数 |
|
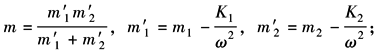
弹性连杆式激振器如图1所示。当曲柄回转时,通过连杆和连杆弹簧能够带动工作机体实现直线往复运动。弹性连杆式振动机为近共振类振动机,如果振动机为单质体,势必会使传给基础的动载荷很大。如将激振器装在如图2a所示的两个振动质体之间,驱动两质体作相对直线运动,经过隔振,传给基础的动载荷明显减小。主振系统的力学模型如图2b所示。其相对运动微分方程为:
式中 m——诱导质量, K1,K2——分别为作用于m1、m2的隔振弹簧总刚度,N/m,图2a所示系统中K1=0,K2=(K11y+K12y)×sin2α+(K11x+K12x)cos2α 设计参数见表主振系数的动力参数 图3是弹性连杆式垂直振动输送机,在弹性连杆激振力的作用下,槽体沿一定的倾斜方向作扭转振动。扭转振动的方向与导向杆相垂直。由于槽体的振动,物料将沿螺旋槽体向上运动
图1 弹性连杆式激振器 图2 弹性连杆式振动机及主振系统的力学模型 1—基座;2—曲柄;3—连杆; 4—弹簧;5—工作机体
图3 弹性连杆式垂直振动输送机 1—螺旋槽体;2—主振弹簧;3—弹性连杆式激振器;4—导向杆;5—传动带;6—电动机 |




