|
自同步条件及激振器位置 |
||
|
项目 |
自同步 |
激振器偏转式自同步 |
|
激振器位置简图 |
|
|
|
O为机体质心,O1、O2为激振器两个回转轴心,O' 为O1O2的中点,l为OO' 的距离,la为O1O' 及O'O2的距离,α为机体倾角,机体质量为m,绕O的转动惯量为I |
||
|
|
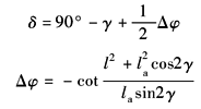
为了降低机体高度,改善受力状态,通常将O1O2绕O' 偏转到O1O2平行于机体的底面,即偏转γ角 |
|
|
同步性条件 |
同步性条件: 对远超共振振动机稳定性条件: 从同步性条件和稳定性条件来看,la越大,两电动机驱动力矩差ΔMg及两激振器摩擦阻矩差ΔMf越小,越容易同步 |
|
|
振动方向角 |
|
|
|
机体运动轨迹 |
全机体直线运动轨迹 |
有力矩作用和摆动,机体除质心外为近于直线的椭圆轨迹 |




