|
速度阶跃激励 |
|
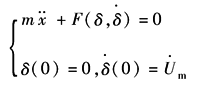
当冲击力作用的时间τ远小于缓冲系统固有周期T(一般τ<0.3T)时,根据冲量定理,该力的冲击与此力的冲量所产生速度阶跃相同。同理,当加速度脉冲的持续时间τ远小于缓冲系统固有周期T时,也可将加速度脉冲近似地作为速度阶跃冲击。于是系统的运动方程和初始条件为:
式中 F(δ, 由于缓冲器的固有角频率一般都比较低,即固有周期T比较长,所以冲击作用时间一般要比T小得多,采用速度阶跃理想模型所得到的结果具有较好的准确性 |
|
速度阶跃激励 |
|
当冲击力作用的时间τ远小于缓冲系统固有周期T(一般τ<0.3T)时,根据冲量定理,该力的冲击与此力的冲量所产生速度阶跃相同。同理,当加速度脉冲的持续时间τ远小于缓冲系统固有周期T时,也可将加速度脉冲近似地作为速度阶跃冲击。于是系统的运动方程和初始条件为:
式中 F(δ, 由于缓冲器的固有角频率一般都比较低,即固有周期T比较长,所以冲击作用时间一般要比T小得多,采用速度阶跃理想模型所得到的结果具有较好的准确性 |