|
缓冲弹簧的储能特性 |
|||||
|
类型 |
线性弹簧 |
非线性弹簧 |
|||
|
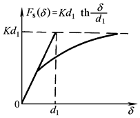
硬特性弹簧 |
软特性弹簧 |
||||
|
特性曲线 |
|
|
|
||
|
储能特性 |
当δ=δm时 |
|
δm——最大相对位移 |
||
|
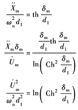
各参数间的关系 |
|
|
|
||
|
说明 |
当 比,而δm与ωn成反比,两者是相互制约的 |
K为曲线的初始斜率,即δ很小时的弹簧刚度。δ=d为曲线的渐近线。ωn为δ很小时的固有角频率 |
K和ωn的意义同左。d1由图表示,Kd1为曲线的渐近线 |
||
|
能量吸收率 |
收率为50%
的最大能量
的二倍 |
η>1,能量吸收率 小于50%,缓冲效果差,抗超载能力强 |
η<1,能量吸收率大于50%,缓冲效果较好,但最大量δm较大,小 冲击能引起较大的 |
||
|
典型弹簧 |
金属螺旋弹簧 |
泡沫塑料或橡胶弹簧 |
垂直方向预压缩的橡胶剪切弹簧或空气弹簧 |
||
|
图1 硬特性弹簧
图2 软特性弹簧 |
|||||













