|
冲击现象及冲击传递系数 |
|||
|
1)常遇到的冲击及其受力状态如下表所示 |
|||
|
起吊重物 |
汽车制动 |
锤头下落 |
包装物下落碰撞地面 |
|
|
|
|
|
|
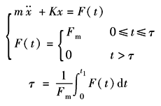
2)缓冲问题也就是冲击隔离问题。因此,像隔振问题一样,可将缓冲问题分为主动(积极)缓冲和被动(消极)缓冲两类。缓冲系统的力学模型见下图,在忽略阻尼和非线性影响以及冲击作用时间的条件下,可以得到两个数学意义相同的运动方程: 主动缓冲时
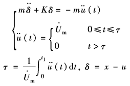
式中 Fm——冲击力最大值 被动缓冲时
式中
缓冲系统力学模型 评价缓冲器品质的重要指标是冲击传递系数。被缓冲器保护的基础或机械设备所受的最大冲击力为Nm,无缓冲器时基础或机械设备所受的最大冲击力为Nm∞,则冲击传递系数: 主动缓冲时 被动缓冲时 从力学模型、运动微分方程和传递系数上看,缓冲和隔振非常相似。因此,缓冲问题也会像隔振问题一样,从被动缓冲模型动力分析中所得出的结论会完全适用于主动缓冲 |
|||









