嘉立创PCB
PCB、FPC制造服务
嘉立创SMT
一站式PCBA服务平台
嘉立创激光钢网治具
激光钢网&治具制造
立创商城
一站式元器件采购自营商城
嘉立创FA
机械/电气零部件一站式商城
嘉立创3D打印
树脂、尼龙、金属3D打印服务
嘉立创CNC机械智造
机加件一件起订,3天交货
嘉立创EDA
国产PCB设计工具
嘉立创CAM
国产线路板CAM软件
Forface 3D
SaaS化3D技术服务平台
硬创社
好玩的硬件交流社区
供应商合作
一站式阳光采购平台
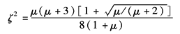
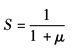
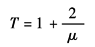
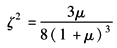
减振吸振器的最佳参数
项目
最佳调谐黏性
阻尼减振吸振器
等频率调谐黏性
兰契司特黏性
调谐频率比
S=ω22/ωn
S=1
S=0
阻尼比
ζ=C/Cc
减振吸振系数
T=B1/(F0/K1)
最大相对位移比
Δ=δmax/(F0/K1)
兰契司特库仑阻尼减振吸振器
注:各符号意义与表动力吸振器工作原理和表设计思想相同。
< 上一篇:
设计思想
下一篇:
减振吸振器的设计步骤 >