|
动力吸振器工作原理 |
||
|
所谓动力吸振就是借助于转移振动系统的能量来减小振动 |
||
|
项目 |
简图 |
说明 |
|
使用条件 |
|
基本恒定的激振圆频率ω接近于主系统的固有角频率 |
|
增设辅助弹簧质量系统 |
|
当 |
|
二自由度系统的稳态响应 |
|
系统不可能无阻尼:
主系统的强烈振动为辅助系统所吸收 |
|
系统的频率特性 |
|
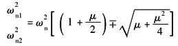
给出μ值,就可找到系统的两个固有角频率,从图中可以看出在μ不太大时,这两个固有角频率之间的频带相当窄。从二自由度系统稳态响应图中主质量m1的幅频响应曲线可以看出,无阻尼动力吸振器有效工作频带就更窄,因为在ωn的左右不远处各有一个固有角频率ωn1和ωn2。所以,使用不当时,很容易带来产生共振的弊端 |
|
注:ωn—主系统的固有角频率, ωn1,ωn2—二自由度系统的一、二阶固有角频率,rad/s;μ—质量比,μ=m2/m1;S—刚度比,S=K2/K1;Z—频率比,Z=ω/ωn;F0—简谐激振力幅值,N。 |
||






