|
减振器设计 |
|||
|
(1)油压式减振器结构特征 筒式油压减振器的典型结构如下图所示。值得注意的有两点:其一是该减振器采用了两个完全相同的单向阀A、B和一个带有阻尼孔C的压力阀;其二是油缸的内径与活塞杆的外径之比取为2。这样就可保证减振器在正反两方向行程相等、运动速度也相等的条件下,正反向运动流过阻尼孔C和A、B阀的油量相等,作用于活塞上的阻尼力相等。减振器具有稳定的阻尼特性。另外,单向阀、阻尼孔和油缸零件均采用分体式,便于制造、安装和调试
油压式减振器 1—阻尼孔C;2—气室;3—油面;4—阀B;5—活塞;6—阀A;7—油缸 (2)阻尼力特性 |
|||
|
项目 |
定截面阻尼孔 |
圆锥阀阻尼孔 |
速度比例阀阻尼孔 |
|
结构简图 |
|
|
|
|
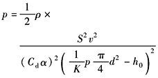
压力差与活塞速度关系 |
|
|
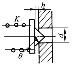
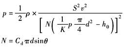
阀的开程h与阀体切槽深度关系为抛物线,实际上是圆弧,油通路面积 |
|
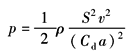
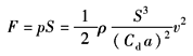
ρ ——流体密度,kg/m3;S——活塞面积,m2;a——阻尼孔面积,m2;υ ——活塞速度,m/s;Cd——流量系数,取决于孔形状和雷诺数 |
|||
|
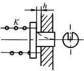
孔长较短Cd=0.6 孔长径比为3,流入侧边缘 直角:Cd=0.8 圆弧:Cd=0.9 |
带阀门的阻尼孔Cd=0.6~0.7 K——阀弹簧的弹簧刚度,N/m h0——阀弹簧的预压变形量,m 未注几何尺寸见简图 |
||
|
阻尼力速度特性 |
|
|
|
|
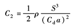
阻尼系数 |
|
|
|
|
等效线性阻尼系数 |
ω ——活塞振动频率,rad/s B ——活塞振动振幅,m |
|
|
|
使用说明 |
上图阻尼孔C为定截面阻尼孔。阻尼系数计算公式中面积S=πD2/8,D为油缸内径。另外阻尼力随υ2按正比增长,υ很大时,受力很大,阻尼器将受到强度上的限制。为控制内压,阻尼孔C处装一限压阀 |
上图中的阀A、B可采用圆锥阀。当流体流过该类阀时,产生的阻尼力很小,因此,圆锥阀都是像上图那样与定截面阻尼孔配用。圆锥阀的阻尼力可以忽略不计 |
上图中阀A、B也可采用速度比例阀,它所产生的阻尼力是线性阻尼。当速度比例阀与阻尼孔C配合使用且流动速度υ很高时,速度平方阻尼起主要作用;υ比较低时,线性阻尼占主导地位,是一种比较好的搭配 |
|
(3)设计示例 设计示例的减振隔振器动力参数设计示例,确定等效线性阻尼Ce=42720N·s/m,阻尼器的振动角频率ω=293.2rad/s,振幅B=1.22×10-4m,设计如上图所示的油阻尼器 阀A和阀B采用圆锥阀阻尼孔,阻尼孔C采用定面积阻尼孔 阻尼系数
定截面阻尼孔C的直径选为d1=0.002m,阻尼油选择为机油,其密度ρ=900kg/m3,阻尼孔长径比大于3且边缘为圆弧,所以Cd=0.9,活塞杆面积
活塞杆直径
油缸内径
(4)摩擦阻尼器结构特征 摩擦阻尼器结构特征,一是选用合适的摩擦材料做摩擦片,二是对摩擦片施加足够的摩擦力,通常施加正压力方法有预压弹簧、气缸或油缸三种加压形式 |
|||














