|
弹性连接干摩擦阻尼减振隔振器动力参数设计 |
||
|
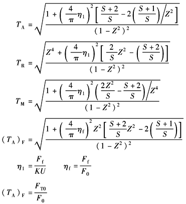
项目 |
计算公式 |
说明 |
|
力学模型 |
|
系统频率比参看表减振隔振器系统主要参数 |
|
传递系数 |
|
(1)无阻尼(η1=0)和无穷阻尼(η1=∞)的情况下,只有弹簧起作用 (2)低阻尼(小于最佳阻尼)时,阻尼器松动频率也比较低,当松动频率低于固有角 频率时,即 (3)松动和锁住频率比
取“+”时为松动频率,取“-”时为锁住频率,当根号内出现负值时,松动后不再锁住 (4)高频时,加速度传递系数与频率平方成反比,所以,高频加速度传递系数相对较小 |
|
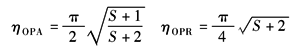
最佳频率比 |
|
也可查阅表最佳参数选择中图1 |
|
最佳传递系数 |
|
也可查阅表最佳参数选择中图2 |
|
最佳阻尼参数 |
|
可通过计算或查下图确定ηOP和Ff,再依据Ff选择μ和N |
|
最佳阻尼参数ηOP与刚度比的关系 |
||





