|
刚性连接非线性阻尼系统隔振 |
||
|
项目 |
黏弹性阻尼系统 |
摩擦(库仑)阻尼系统 |
|
力 学 模 型 |
K'——橡胶弹簧单向位移动刚度 h——橡胶材料阻尼特性的正交动刚度,h=K'η1 η1——黏性材料的损耗因子,一般橡胶η1=0.03~0.50 |
Ff——极限摩擦力,Ff=μN η1——摩擦阻尼参数 |
|
等 效 阻 尼 |
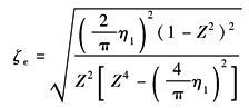
等效线性阻尼系数
|
等效线性阻尼比
|
|
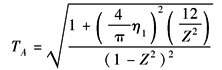
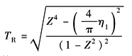
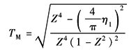
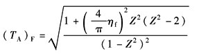
传 递 系 数 |
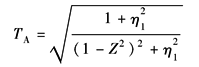
绝对传递系数
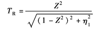
相对传递系数
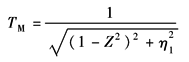
运动响应系数
|
绝对传递系数
相对传递系数
运动响应系数
力传递系数
ηf——力阻尼参数, |
|
频 率 比 Z |
|
摩擦阻尼器松动频率比
|
|
隔 振 特 征 |
(1)当Z=1(共振),η1=2ζ=1时, (2)当Z?1(远超共振),η1=1时,黏弹性阻尼系统与无阻尼系统的η1之差为 (3)通常增大η1值会引起发热量的增加,寿命缩短,因此,大损耗因子(η1>0.5)的橡胶在隔振技术中的应用仍有困难 |
(1)在“松动”刚开始的一段频率范围内,振动的一个周期内仍然交替地出现“松动”和“锁住”运动,所以,这一频带对应的TA、TR近似性较差,计算时应注意 (2)如果摩擦阻力小于临界最小值,即使系统有阻尼,共振时的位移传递系数也能达到无穷大。为避免共振时TA达到无穷大,给出了摩擦力最小条件和最佳条件 (Ff)min=0.79KU (Ff)OP=1.57KU (3)当激振频率较高时,TA与ω2成反比 |













