|
设计示例 |
|
某高速离心压气机,其质量为1240kg,工作转速为2800r/min,要求设计一弹性连接线性阻尼减振隔振器,使共振时的最大绝对传递系数TAmax<3,正常工作时的隔振系数η≤0.05 (1)确定刚度比S 当TAmax=3时,从图1查得对应的刚度比S=1;当TAmax≤3时,则S≥1;为了安全起见,取S=2 (2)确定最佳阻尼比ζOPA 当S=2时,从图2查得对应的最佳阻尼比ζOPA=0.47
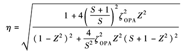
图1 TOP与S的关系 图2 ζOP与S的关系 (3)确定系统的固有角频率ωn 当S=2,ζOPA=0.47,TA=0.05时,从隔振系数
中可以计算出对应的频率比Z=8;当η≤0.05时, (4)主支承总刚度
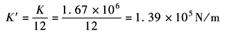
主支承弹簧选择四角均匀布置,每组选用3只弹簧,共用12只弹簧作为主支承弹簧,一只弹簧刚度
(5)主支承弹簧的静变量
选取δn=0.01m。因选取S、δn值两次选大,该弹簧静变量肯定满足要求。主支承弹簧设计参数K'、δn确定后,则可进行弹簧设计 (6)阻尼器支承弹簧总刚度
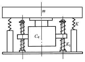
阻尼器支承弹簧采用和主支承弹簧相同的24只弹簧,沿圆周均匀布置,见图3
图3 弹性连接线性阻尼结构布置简图 (7)阻尼器总等效线性阻尼系数
式中 Cc=2mωn=2×1240×36.65=90900N·s/m 因该高速离心压气机工作频率高,采用速度平方阻尼器是很有效的,所以,求得的阻尼系数为等效线性阻尼系数,采用4只阻尼器,每一只阻尼器的阻尼系数为:
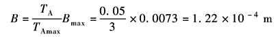
(8)流体阻尼器的行程估计 因为传给基础的瞬时最大动载荷幅值FTmax=TAmaxF0=KBmax;正常工作时传给基础的动载荷幅值FT0=TAF0=KB,当TAmax=3时,Bmax=δn=0.0073m,所以,稳态振幅
阻尼器的正常工作行程为二倍稳态振幅,最大行程往往根据装配工艺要求确定。阻尼器设计可根据C'e、ω、B进行 |







