|
二次隔振动力参数设计示例 |
|
|
某直线振动机二次隔振力学模型如下图所示,该振动机机体质量m1=7360kg,沿与水平方向成α角的方向上施加激振力F(t)=F0sinωt,激振力幅值F0=258300N,激振频率ω=83.78rad/s,一次隔振器动力参数设计确定隔振弹簧沿x方向的刚度K1x=1972000N/m(采用8只K'1x=246500N/m,K'1y=174900N/m的隔振弹簧),因此,隔振弹簧沿y方向的刚度K1y=1399000N/m,沿x方向和y方向传给基础的动载荷幅值分别为FTx=6508N,FTy=5500N,该振动机安装在上层楼板工作位置后,由于ω和楼板的固有角频率很接近,楼板产生强烈的拍振。为减轻楼板振动,生产单位要求通过减小传给基础动载荷的方法,解决楼板强烈振动构成的安全隐患问题。试进行二次隔振器动力参数设计 |
|
|
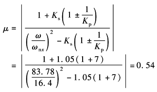
(1)质量比
|
某振动机二次隔振力学模型 |
|
(2)二次隔振架质量
(3)二次隔振弹簧刚度
选用14只K'2x=246500N/m、K'2y=174900N/m的隔振弹簧,并对称质心均匀布置
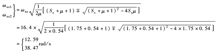
以上两数值为最后确定的二次隔振弹簧的刚度 (4)系统的固有角频率 沿x方向的固有角频率
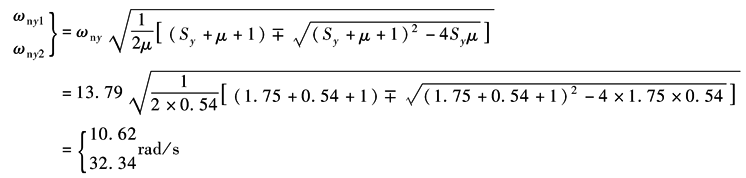
沿y方向的固有角频率
(5)稳态响应幅值
(6)最大位移 机体m1的最大绝对位移
为了使机体m1和基础在振动过程中不发生碰撞,沿垂直方向的最小间隙应大于0.017m,沿水平方向最小间隙应大于0.0195m 机体m1和二次隔振架m2间的相对位移
为了使机体m1和二次隔振架m2在振动过程中不发生碰撞,沿垂直方向的最小间隙应大于0.0185m,沿水平方向的最小间隙应大于0.02m 二次隔振架m2的最大绝对位移
为了使二次隔振架m2和基础在振动过程中不发生碰撞,沿垂直方向的最小间隙应大于0.0015m,沿水平方向的最大间隙应大于0.00065m。一次隔振弹簧和二次隔振弹簧的变形量与δx1max和Bx2max的关系符合要求 (7)传给基础的动载荷幅值 垂直即x方向传给基础的动载荷幅值
水平即y方向传给基础的动载荷幅值
|
|












