|
二次隔振动力参数设计 |
||||
|
项目 |
主动(积极)隔振 |
被动(消极)隔振 |
||
|
力学模型 |
|
|
||
|
设计已知条件 |
当一次隔振满足不了隔振要求时,需采用二次隔振,所以,一次隔振器动力参数设计的已知条件以及一次隔振设计确定的动力参数均为二次隔振设计的已知条件,即已知系统的参数m1、K1、C1、激振力幅值F0或支承运动幅值U、激振角频率ω、传给基础的允许动载荷幅值[FT0]或被隔振物体允许的位移幅值[B1] |
|||
|
确定的动力参数 |
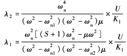
二次隔振设计所要确定的动力参数是二次隔振架的参振质量m2和二次隔振弹簧的刚度K2。为方便设计,引用刚度比S、质量比μ、振幅比Δ和一次隔振系统的固有圆频率ωn四个物理量:
由于K2=SK1,m2=μm1,于是将确定K2和m2的问题转化为确定S和μ的问题 |
|||
|
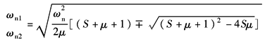
系统的固有频率 |
|
|||
|
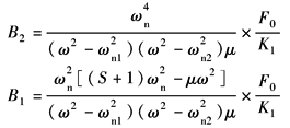
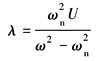
系统稳态响应振幅 |
|
|
||
|
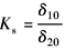
刚度比与质量比的关系 |
式中 Ks——两弹簧静变形量之比, δ10——K1弹簧在m1g作用下的静变形量,m; δ20——K2弹簧在(m1+m2)g作用下的静变形量,m |
|||
|
主要考核指标 |
传给基础的动载荷幅值
|
传到机械设备的位移幅值
|
||
|
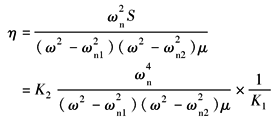
隔振系数η |
|
|
||
|
设计思想 |
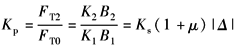
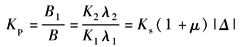
在考察二次隔振与一次隔振传给基础的动载荷幅值之比Kp和二次隔振m2与m1振动位移幅值之比关系中,寻求在Ks给定条件下确定质量比μ的计算公式 |
被动隔振与主动隔振的隔振系数(绝对传递系数)完全一样,所以,可将U看成F0,将B1看成FT2,按主动隔振确定质量比μ,不影响被动二次隔振的隔振效果 |
||
|
二次隔振与一次隔振传给基础动载荷幅值之比 |
|
等效主动二次隔振稳态振幅
等效主动一次隔振稳态振幅
|
||
|
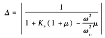
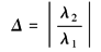
振幅比 |
|
|
||
|
|
||||
|
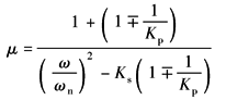
质量比 |
|
式中正负号的选取应使μ为正值 |
||
|
动力参数 |
二次隔振架参振质量 m2=μm1 二次隔振弹簧刚度 K2=Ks(1+μ)K1 |
|||
|
辅助考核指标 |
|
|
||
|
设计思想 |
为防止机体m1、二次隔振架m2和基础(包括固定在它上面的物体)沿空间六个方向的相互碰撞,机体和基础间的最小间隙应大于B1max(或δmax),机体m1和二次隔振架m2间的最小间隙应大于δ1max,二次隔振架m2和基础间的最小间隙应大于B2max(或δ2max) 为防止机体m1和二次隔振架m2在振动过程中跳离隔振弹簧,弹簧的静压缩量δn1、δn2应分别大于δ1max、B2max(或δ2max),允许极限压缩量δ'j1、δ'j2应分别大于(δn1+δ1max)、(δn2+Β2max)或(δn2+δ2max);对非压缩弹簧,允许相对变形量应大于二倍δ1max、B2max或δ2max |
|||
|
隔振弹簧设计参数确定 |
用δ1max确定一次隔振弹簧的变形量
用B2max或δ2max确定二次隔振弹簧的变形量
或 根据刚度分配原则和弹簧的布置情况,确定出各组弹簧的一只弹簧的刚度,用该刚度分别去乘弹簧的各变形量δ1、δn、δj得到相应的力P1、Pn、Pj |
|||















