|
单自由度线性系统的传递函数 |
||
|
1)频率响应函数(或复频响应函数)——系统在频率ω下的传递特性的函数 2)脉冲响应函数——稳态的静止系统受到单位脉冲激励后的响应h(t)。它是系统的质量、刚度和阻尼的函数 3)阶跃响应函数——静止的线性的振动系统受到单位阶跃激励后所产生的阶跃响应K(t)。阶跃响应函数K(t)等于脉冲响应函数h(t-τ)曲线下的面积 |
||
|
项目 |
数学表达式 |
动态特征 |
|
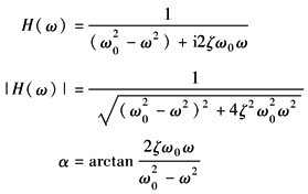
频率响应函数 |
|
H(ω)可通过计算或测试得到 |
|
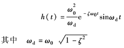
脉冲响应函数 |
|
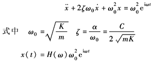
上述方程的解:
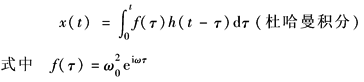
杜哈曼积分的卷积形式:
|
|
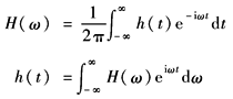
H(ω)和h(t)的关系 |
|
H(ω)、h(t)都是反映系统动态特性的,它只与系统本身参数有关,与输入的性质无关 |
|
注:1.系统的传递函数只反映系统的动态特性,与激励性质无关,简谐激励或随机激励都一样传递。 2.频响函数为复数形式的输出(响应)和输入(激励)之比。 |
||





