|
平稳随机振动描述 |
|||||
|
项目 |
定义 |
统计特性 |
|||
|
随机振动 |
不能用简单函数或这些函数的组合来描述,而只能用概率和数理统计方法描述的振动称为随机振动 |
例如汽车、拖拉机、工程机械、船舶、石油钻井平台及安装在它们上面的机电设备等,在路面、波浪、地震等作用下的振动系统设计均以随机振动理论为基础。这种振动特性:(1)不能预估一次振动观测记录时间T之外某时刻的振动状态;(2)在相同的试验条件下,各次观察结果不同,即各次记录曲线有不重复性 |
|||
|
随机过程 |
如果一次振动观察记录xi(t)称为样本函数,则随机过程是所有样本函数的总和,即 X(t)={x1(t),x2(t),…,xn(t)} |
X(t)在任一时刻ti(ti∈T)的状态X(ti)是随机变量,于是可将随机过程和随机变量联系起来 |
|
||
|
平稳随机过程 |
统计参数不随时间t的变化而变化的随机过程为平稳随机过程 |
机械工程中多数随机振动是平稳随机过程 |
|||
|
幅 值 域 描 述 |
概率分布函数 |
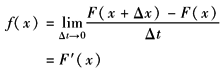
F(x)=P(X<x) 随机过程X(t)小于给定x值的概率,描述了概率的累积特性 |
(1)F(x)为非负非降函数,即F(x)≥0,F'(x)>0 (2)F(-∞)=0,F(∞)=1 |
|
|
|
概率密度函数 |
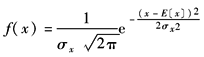
具有高斯分布随机过程X(t)
|
表示了X(t)概率分布的密度状况 (1)非负函数即f(x)≥0
|
机械工程中的随机振动多数为具有高斯分布的随机过程,因此,只要求得随机过程的均值E〔x〕和标准差σx,即可确定f(x),再通过从-∞到x的积分可得F(x) |
||
|
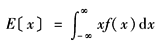
均值 |
X(t)的集合平均值 |
F(x)、f(x)都是围绕均值E〔x〕向两侧扩展的 |
|||
|
均方差 |
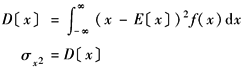
|
描述了F(x)、f(x)围绕均值向两侧的扩展程度 |
|||
|
时 域 描 述 |
自相关函数 |
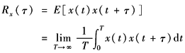
描述平稳随机过程X(t)在t时刻的状态与(t+τ)时刻状态的相关性。t为X(t)的时间变量,τ为延时时间 |
(1)当E[x(t)]=0时
(2)Rx(τ)为实偶函数 即 Rx(τ)=Rx(-τ) (3)当X(t)的均值E[x(t)]=C≠0时,可将各样本函数x(t)分解为一恒定量E[x(t)]和一 |
|
|
|
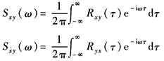
均值为零的波动量ξ(t),即x(t)=E[x(t)]+ξ(t),则:Rx(τ)={E[x(t)]}2+Rξ(τ) (4)自相关函数Rx(τ)可由功率谱密度函数Sx(ω)的傅里叶变换得到,即 (5)当Sx(ω)=S0时,Rx(τ)=2πS0δ(τ),δ(τ)为广义函数,
|
|||||
|
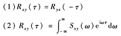
互相关函数 |
描述了X(t)的t时刻状态和Y(t)的(t+τ)时刻状态的相关性 |
|
|||
|
频 域 描 述 |
自功率谱密度函数 |
|
(2)Sx(ω)是非负的实偶函数
|
|
|
|
互谱密度函数 |
|
(1)Sxy(ω)是一个复值量 (2)Sxy(ω)和Syx(ω)是复共轭的 |
|||
|
相干函数 |
|
0≤rxy(ω)≤1 通常当rxy(ω)>0.7时,认为y是由x引起的,噪声(外干扰)影响较小 |
|||
|
注:各参数的脚标x表示参数为随机过程X(t)的对应参数,x可以为位移、速度、加速度、干扰力等物理量,为区分也可用 |
|||||













