|
单自由度线性系统的随机响应 |
||
|
项目 |
计算公式 |
计算结果及说明 |
|
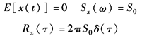
输入x(t) |
|
输入x(t)是各态历经具有高斯分布的白噪声过程 |
|
响应的均值 |
|
|
|
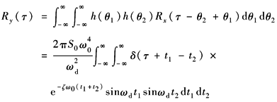
响应的自相关函数 |
|
(当t≥0取正值,t<0取负值) |
|
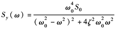
响应的自谱密度函数 |
|
|
|
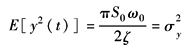
响应的均方值 |
|
|
|
响应的概率密度函数 |
|
输入具有高斯分布的,则输出也一定是具有高斯分布的 |
|
注:1.工程中窄带随机振动问题的处理方法和确定性振动问题相似,所以,通常将其转化为确定性振动来处理。 2.功率谱密度函数不随频率改变而改变的谱[Sx(ω)=S0]称为白谱,其对应的随机过程称为白噪声过程,这种过程只是一种理想状态,但宽带随机只要在一定的频带范围内缓慢变化,可近似处理为白噪声过程。 |
||






