|
等效线性化近似解法 |
||
|
项目 |
数学表达式 |
说明 |
|
非线性运动微分方程 |
|
非线性函数可推广成为 |
|
等效线性运动微分方程 |
|
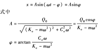
Ce、Ke分别为等效线性阻力系数和刚度 |
|
等效线性方程的稳态解 |
|
这里的振幅A、相位差角φ的表达式和第3章给出的公式是等价的 |
|
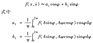
将 |
|
通常一次谐波都远大于二次以上谐波,所以一般均忽略二次以上谐波。a0只影响静态特性,一般也不考虑 |
|
将展开的 |
等效刚度:
等效阻尼系数:
|
|
|
注:有关运动稳定性问题在表单自由度系统相平面及稳定性一并加以讨论。 |
||


