|
示例 |
|
|
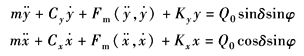
例 求解如下图所示的系统,该机的非线性振动方程为: |
|
|
某自同步式振动机的力学模型 |
式中
|
|
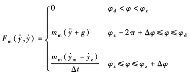
式中 mm——物料质量,kg; μ——摩擦因数; Δt——冲击时间,s,Δt→0;
φd——物料做抛掷运动的抛始角,rad; φz——物料做抛掷运动终止相角,称为抛止角,rad; δ——振动方向角; φ1——物料在机体槽台上与槽台开始作等速运动时的相角; φ2——物料在机体槽台上与槽台开始有相对运动时的相角; φ3——物料在机体槽台上与槽台停止有相对运动时的相角;此时物料在机体槽台上与槽台又开始作等速运动,相当于又一次的相角φ1。(φ2-φ1)为物料与槽台作一次等速运动的相角差,(φ3-φ2)为物料与槽台作一次相对运动的相角差,在机体槽台的一个运动循环中,物料未跳起之前可能有几个这样的相角差 该机做直线振动,因此,y=ssinδ x=scosδ 解 非线性方程的等效线性方程为:
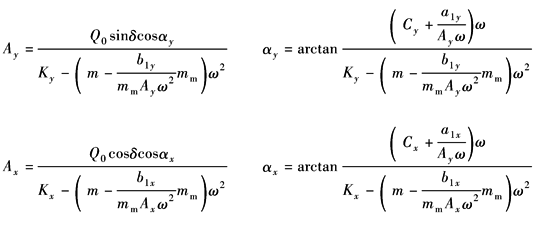
非线性方程的一次近似解为:
对小阻尼振动机来说αy≈αx,所以,φy≈φx=φ,推求非线性作用力一次谐波傅里叶系数,代入非线性方程(在忽略非线性作用力的二次以上谐波项,过程从略)可求得:
因而,物料的等效质量系数和等效阻尼系数为:
将振动y和x合成为振动s后的等效线性方程为:
该方程的一次近似解:s=Assin(ωt-αs)
|
|










