|
各种系统所常见的几种非线性弹性力的特征曲线 |
|||
|
序号 |
系统说明 |
系统图例 |
力的特征曲线 |
|
1 |
以弹簧压于平面的物体 |
|
|
|
2 |
置于锥形弹簧上的物体 |
|
|
|
3 |
柔性弹性梁 |
|
|
|
4 |
密闭缸内的气体上的重物 |
|
|
|
5 |
悬挂轴旋转的单摆 |
|
M=mglsinψ-mΩ2l2cosψsinψ |
|
6 |
曲面船垂直偏离平衡位置 |
|
|
|
7 |
曲面船绕平衡位置转动 |
|
|
|
8 |
磁场中的电枢 |
|
|
|
9 |
有间隙的弹簧 |
|
|
|
10 |
有纵向横槽的半圆柱体 |
|
|
|
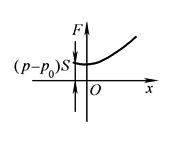
11 |
缸内有气压的活塞向下压 |
|
p,p0——内部压力和大气压力; S——气缸横断面积 |






















