|
机械工程中的非线性振动问题 |
||
|
在对一个振动系统进行研究时,一般情况下其阻尼力和弹性力有时可线性化,但有时则必须考虑其非线性性质。在工程实际问题中也存在着一些不能线性化的系统。在机械系统中非线性力有非线性势力、非线性阻尼力和混合型非线性力 下表为机械工程中的非线性振动问题的典型例子 |
||
|
类型 |
力学模型及非线性力曲线 |
运动微分方程及非线性力表达式 |
|
非 线 性 恢 复 力 |
|
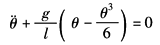
单摆运动微分方程:
如果只取前两项,则非线性运动微分方程:
这种恢复力的系数随着角位移幅值增大而减小的性质,称为“软特性” |
|
|
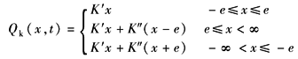
非线性运动微分方程:
其弹性恢复力:
这里K' 为软弹簧刚度,K" 为两个硬弹簧的刚度和。这种弹性恢复力为分段线性的非线性恢复力,这种弹性恢复力的系数随着位移幅值的增长而分段(或连续)增长的性质称为“硬特性” |
|
|
非 线 性 阻 力 |
|
非线性运动微分方程: 库仑(干摩擦)阻尼:
μ——摩擦因数;m——质量,kg |
|
非 线 性 惯 性 力 |
|
振动落砂机上质量为mm的铸件做抛掷运动时,系统的运动微分方程:
其分段线性的非线性惯性力为:
φa——mm的抛始角;φd=φa+2π;φc-φb=ωΔt; Δt——冲击时间(很短);
|
|
注:1.严格说,振动系统都是非线性的,只有在微幅振动时系统才能被简化为线性系统,上述各例微幅振动分别在如下的范围时,可简化为线性计算:-φ0≤θ0≤φ0(θ=θ0sinωt,sinφ0≈φ0);-e≤B≤e[x=Bsin(ωt-ψ)];-A0≤ A≤A0[x=Asin(ωt-ψ),ωA0≈A0]; 当振动幅值超出上述范围,则系统产生的振动为非线性振动。 2.θ0、B、A—各自的振幅。 |
||






