|
等效参数的转换计算 |
|||||
|
一个振动系统可以按周期能量相等的原则,转换为另一个相当的有等效参量的较简单的振动系统来计算。见下表 |
|||||
|
分类 |
能量守恒原则 |
等效参数 |
实 例 计 算 说 明 |
||
|
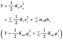
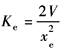
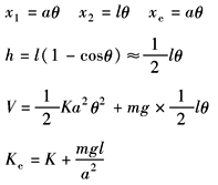
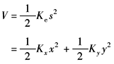
1. 等 效 刚 度 |
|
|
|
|
|
|
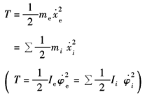
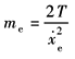
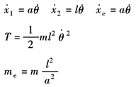
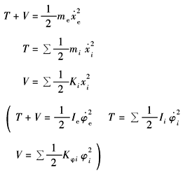
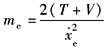
2. 等 效 质 量 |
|
|
|
|
|
|
3. 弹 簧 刚 度 的 等 效 质 量 |
|
|
|
||
|
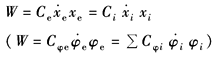
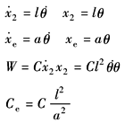
4. 等 效 阻 尼 |
|
|
|
|
|
|
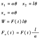
5. 等 效 激 励 |
|
|
|
|
|
|
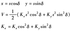
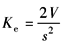
6. 方 向 转 换 |
|
|
其他参数可类似进行振动方向的转换计算 |
|
|
|
注:1.参数转换计算均按微幅简谐振动计算。 2.V—势能;T—动能;W—功;C—阻尼系数;B—振幅。 |
|||||





















