|
各种系统所常见的几种非线性阻尼力的特征曲线 |
||||
|
序号 |
阻尼说明 |
阻尼力公式 |
力的特征曲线 |
说明 |
|
1 |
幂函数阻尼 |
|
|
|
|
2 |
库仑摩擦 (1中n=0时) |
|
|
即表非线性阻尼的等效线性阻尼系数中的1项 |
|
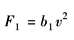
3 |
平方阻尼 (1中n=2时) |
|
|
即表非线性阻尼的等效线性阻尼系数中的2项 |
|
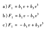
4 |
线性和立方阻尼的组合 |
|
|
|
|
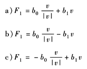
5 |
线性与库仑阻尼的组合 |
|
|
|
|
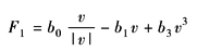
6 |
干摩擦 (2和4的一部分) |
|
|
|
|
注:υ—速度, |
||||








