|
直线运动振系与定轴转动振系的参数类比 |
|||
|
序号 |
项目 |
直线运动振系 |
定轴转动振系 |
|
1 |
力学模型 |
|
|
|
2 |
运动微分方程 |
|
M0——激振力矩幅值,N·m |
|
3 |
位移 |
x=x(t) (m) |
φ=φ(t) (rad) |
|
4 |
速度 |
|
|
|
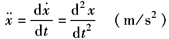
5 |
加速度 |
|
|
|
6 |
惯性力及惯性力矩 |
m——质量,kg |
I——转动惯量,kg·m2 摆动:I=ml2 |
|
7 |
阻尼力及阻尼力矩 |
C——阻尼系数,N·s/m |
Cφ——阻尼系数,N·m·s/rad |
|
8 |
恢复力及恢复力矩 |
Fk=Kx (N) K——刚度,N/m |
Mk=Kφφ (N·m) Kφ——刚度,N·m/rad 摆动:Kφ=mgl |
|
9 |
激励 |
F(t)=F0sinωt (N) |
M(t)=M0sinωt (N·m) |
|
10 |
固有角频率 |
|
|
|
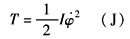
11 |
动能 |
|
|
|
12 |
能量耗散函数 |
|
|
|
13 |
势能 |
|
|
|
例 |
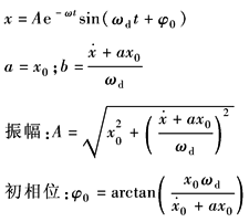
表单自由度系统自由振动模型参数及响应中第6项线性阻尼的直线运动的响应为
|
扭转运动的响应相应为
|
|
|
注:其他项目或多自由度振动可按此类比。 |
|||





