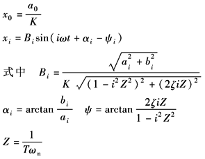
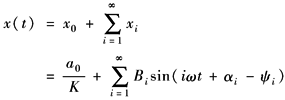
|
非简谐受迫振动的模型参数及响应 |
||||
|
序号 |
项目 |
周期激励作用 |
非周期激励作用 |
|
|
1 |
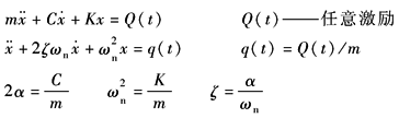
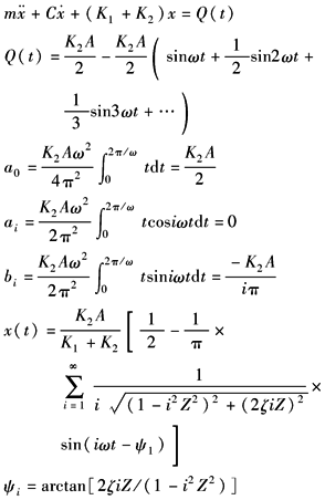
力学模型及运动微分方程 |
|
|
|
|
2 |
非简谐激励的分解 |
|
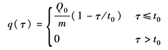
将q(τ)分解为n个在(τ,τ+dτ)区间上值为τ时刻q(τ)值的脉冲 |
|
|
3 |
局部激励作用下的响应 |
|
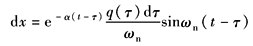
根据动量定理将τ时刻作用系统的冲量q(τ)dτ转换为初始速度:
t时刻系统对τ时刻冲量q(τ)dτ的响应为以
|
|
|
4 |
局部激励响应叠加合成 |
|
|
|
|
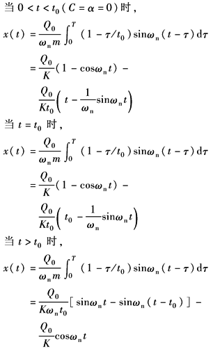
5 |
系统对图示激励响应实例计算 |
|
|
|











