|
各种构件的固有角频率 |
||||||||||||||||||||||||||||||||||||||||||||||||||||||||||||||||||||||
|
序号 |
系统形式 |
简图 |
固有角频率ωn/rad·s-1 |
|||||||||||||||||||||||||||||||||||||||||||||||||||||||||||||||||||
|
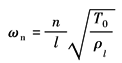
1 |
两端固定,内受张力的弦 |
|
n=π,2π,3π,… T0——内张力,N |
|||||||||||||||||||||||||||||||||||||||||||||||||||||||||||||||||||
|
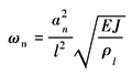
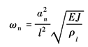
2 |
两端自由等截面杆、梁的横向振动 |
|
E——弹性模量,Pa;J——截面惯性矩,m4; l——杆、梁长度,m;ρl——线密度,kg/m; an——振型常数,a1=4.73,a2=7.853,a3=10.996 |
|||||||||||||||||||||||||||||||||||||||||||||||||||||||||||||||||||
|
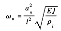
3 |
一端简支,一端自由等截面杆、梁的横向振动 |
|
a1=3.927,a2=7.069,a3=10.21 |
|||||||||||||||||||||||||||||||||||||||||||||||||||||||||||||||||||
|
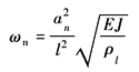
4 |
两端简支等截面杆、梁的横向振动 |
|
a1=π,a2=2π,a3=3π |
|||||||||||||||||||||||||||||||||||||||||||||||||||||||||||||||||||
|
5 |
一端固定,一端自由等截面杆、梁的横向振动 |
|
a1=1.875,a2=4.694,a3=7.855 |
|||||||||||||||||||||||||||||||||||||||||||||||||||||||||||||||||||
|
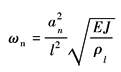
6 |
一端固定一端简支等截面杆、梁的横向振动 |
|
a1=3.927,a2=7.069,a3=10.21 |
|||||||||||||||||||||||||||||||||||||||||||||||||||||||||||||||||||
|
7 |
两端固定等截面杆、梁的横向振动 |
|
a1=4.73,a2=7.853,a3=10.996 |
|||||||||||||||||||||||||||||||||||||||||||||||||||||||||||||||||||
|
8 |
两端自由等截面杆的纵向振动 |
|
i=1,2,3… |
|||||||||||||||||||||||||||||||||||||||||||||||||||||||||||||||||||
|
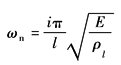
9 |
一端固定一端自由等截面杆的纵向振动 |
|
i=1,2,3… |
|||||||||||||||||||||||||||||||||||||||||||||||||||||||||||||||||||
|
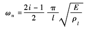
10 |
两端固定等截面杆的纵向振动 |
|
i=1,2,3… |
|||||||||||||||||||||||||||||||||||||||||||||||||||||||||||||||||||
|
11 |
轴向力作用下,两端简支的等截面杆、梁的横向振动 |
|
图a受轴向压力
图b受轴向拉力
式中 an=1,2,3… |
|||||||||||||||||||||||||||||||||||||||||||||||||||||||||||||||||||
|
12 |
周边受张力的矩形膜 |
|
m=1,2,3… n=1,2,3… T——单位长度的张力,N/m; ρA——面密度,kg/m2 |
|||||||||||||||||||||||||||||||||||||||||||||||||||||||||||||||||||
|
13 |
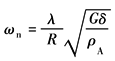
周边受张力的圆形膜 |
|
振型常数ans
|
|||||||||||||||||||||||||||||||||||||||||||||||||||||||||||||||||||
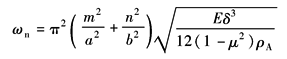
|
14 |
周边简支的矩形板 |
|
m=1,2,3… n=1,2,3… δ——板厚,m;μ——泊松比 |
|||||||||||||||||||||||||||||||||||||||||||||||||||||||||||||||||||
|
15 |
周边固定的正方形板 |
|
图a~f中振型常数ans分别为 35.99、73.41、108.27 131.64、132.25、165.15 |
|||||||||||||||||||||||||||||||||||||||||||||||||||||||||||||||||||
|
16 |
两边固定两边自由的正方形板 |
|
图a~e中振型常数ans分别为 6.958、24.08、26.80 48.05、63.54 |
|||||||||||||||||||||||||||||||||||||||||||||||||||||||||||||||||||
|
17 |
一边固定三边自由的正方形板 |
|
图a~e中振型常数ans分别为 3.494、8.547、21.44 27.46、31.17 |
|||||||||||||||||||||||||||||||||||||||||||||||||||||||||||||||||||
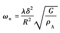
|
18 |
周边固定的圆形板 |
|
振型常数ans
|
|||||||||||||||||||||||||||||||||||||||||||||||||||||||||||||||||||
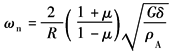
|
19 |
周边自由的圆板 |
|
振型常数ans
|
|||||||||||||||||||||||||||||||||||||||||||||||||||||||||||||||||||
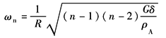
|
20 |
周边自由中间固定的圆板 |
|
振型常数ans
|
|||||||||||||||||||||||||||||||||||||||||||||||||||||||||||||||||||
|
21 |
有径向和切向位移振动的圆筒 |
|
n——节点数的一半 振型与表单自由度系统的固有角频率第24项相仿 |
|||||||||||||||||||||||||||||||||||||||||||||||||||||||||||||||||||
|
22 |
有径向和切向位移振动的无限长圆筒 |
|
K值表
|
|||||||||||||||||||||||||||||||||||||||||||||||||||||||||||||||||||
|
23 |
半球形壳 |
|
λ=2.14,6.01,11.6… δ——壳厚,m |
|||||||||||||||||||||||||||||||||||||||||||||||||||||||||||||||||||
|
24 |
碟形球壳 |
|
λ=3.27,8.55… |
|||||||||||||||||||||||||||||||||||||||||||||||||||||||||||||||||||
|
25 |
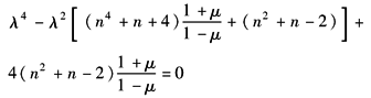
圆球形壳 |
|
只有径向位移的振动
只有切向位移的振动
有径向与切向位移的综合振动
λ由下式求得:(n为大于1的整数)
|
|||||||||||||||||||||||||||||||||||||||||||||||||||||||||||||||||||





















































