|
二自由度系统的固有角频率 |
|||
|
序号 |
系统形式 |
系统简图 |
固有角频率ωn/rad·s-1 |
|
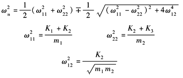
1 |
两个质量三个弹簧系统 |
|
|
|
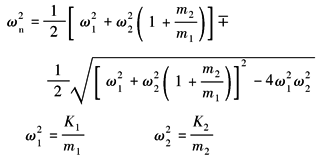
2 |
两个质量两个弹簧系统 |
|
|
|
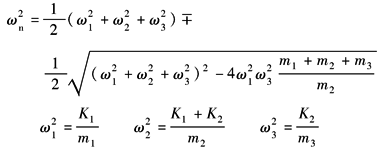
3 |
三个质量两个弹簧系统 |
|
|
|
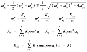
4 |
三个弹簧支持的质量系统(质量中心和各弹簧中心线在同一平面内) |
|
|
|
5 |
刚性杆为两个弹簧所支持的系统 |
|
|
|
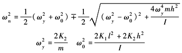
6 |
直线振动和摇摆振动的联合系统 |
|
|
|
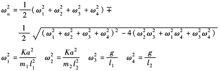
7 |
三段轴两圆盘扭振系统 |
|
|
|
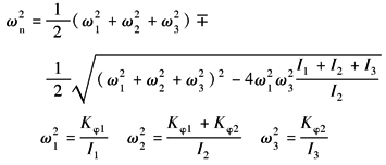
8 |
两段轴三圆盘扭振系统 |
|
|
|
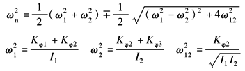
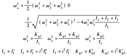
9 |
两端圆盘轴和轴之间齿轮联接系统 |
|
|
|
10 |
二重摆 |
|
|
|
11 |
二联合单摆 |
|
|
|
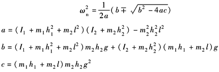
12 |
二重物理摆 |
|
|
|
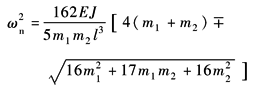
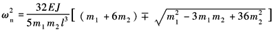
13 |
两个质量的悬臂梁系统 |
|
E——弹性模量,Pa;J——截面惯性矩,m4 |
|
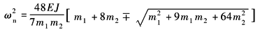
14 |
两个质量的简支梁系统 |
|
|
|
15 |
两个质量的外伸简支梁系统 |
|
|
|
16 |
两质量位于受张力弦上 |
|
T0——张力,N |






























