|
同向简谐振动合成 |
|||
|
序号 |
振动分量 |
合成振动 |
简图 |
|
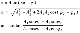
1 |
同频率两个简谐振动
|
合成振动为简谐振动
|
|
|
2 |
同频率多个简谐振动
|
合成振动为简谐振动
|
|
|
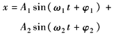
3 |
不同频率两个简谐振动
频率比为较小的有理数 |
合成振动为周期性非简谐振动,振动的频率与振动分量中的最低频率相一致,振动波形取决于频率ω和振动分量各自振幅的大小和相位角
|
|
|
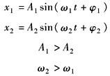
4 |
大振幅低频率与小振幅高频率两个简谐振动
频率比为较大的有理数 |
合成振动为周期性的非简谐振动,主要频率为低频振动频率
|
|
|
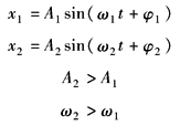
5 |
大振幅高频率与小振幅低频率两个简谐振动
且频率比为较大的有理数 |
合成振动为周期性的非简谐振动,主要频率为高频振动频率
|
|
|
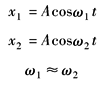
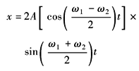
6 |
两个频率接近的简谐振动
(两振幅相等时) |
合成振动为拍振
振幅变化频率等于(ω1-ω2) |
|

















