|
适用范围及标记示例 |
|
(1) 适用范围 齿链式(滑片链式)无级变速器适用范围调速比2.8~6,电机可以顺逆双向旋转,工作环境温度为-40~40℃,当环境温度低于0℃时,启动前润滑油需要预热 齿链式无级变速器分为基本型,第一、二、三派生型 ① 基本型:输入轴端和输出轴端不加装减速装置,代号为P,按传递功率大小由小到大分为0、1、2、3、4、5、6及各派生型 ② 第一派生型:基本型输入轴端加装减速装置,加装的减速装置直接连接电机,代号为FP;加装的减速装置通过联轴器或带轮与动力装置相连,代号为NP;加装差动轮系用联轴器或带轮驱动,代号为XP ③ 第二派生型:基本型输出轴端加装减速装置,减速装置内减速齿轮为1对,代号为PB;2对齿轮,代号为PC;3对齿轮,代号为PD;多于三对齿轮,代号为PBC;加装差动轮系,代号为PX ④ 第三派生型:基本型输入轴端和输出轴端均加装减速装置,且连接方式分别与第一派生型和第二派生型相同,其代号为第一派生型和第二派生型代号的组合,代号为FPB、FPC、FPD、NPB、NPC、NPD 例如,某型号第三派生型无级变速器,输入端加装的减速装置直接与电机相连,输出端加装的减速装置通过一对齿轮减速,代号为FPB (2) 标记示例
① 整机配用功率为1.5kW,输出轴、输入轴两端均不加减速装置,调速比为3,用左手操作调速手轮的立式1型齿链式无级变速器,标记为
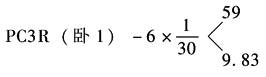
② 在基本型的输出轴端加装。2对齿轮减速的第二类派生型,电机功率为4kW,右手操作,调速比为6,输出轴减速比为1/30,输出轴最高转速59r/min,最低转速9.83r/min的卧式1型齿链式无级变速器,标记为
(3) 主要生产厂家 上海中纺机无级变速器有限公司。选用时,请与生产厂联系实际产品的性能参数和外形尺寸 |


