|
调速范围 |
|
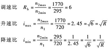
调速范围是指当输入轴转速恒定时,输出轴转速的最大值与最小值之比。即
为使结构紧凑,设计成对称调速,即输入轴传至输出轴时,升速和降速的极限速比相同。例如,当输入轴转速保持720r/min时,输出轴的调速范围为295~1770r/min,则
齿链式无级变速器是通过齿链来传递功率和转矩的,但齿链的许用张力是一个定值。因此,输出轴的输出功率和转矩就要随转速的不同而变化。在作恒功率或恒转矩使用时,应注意使用值不应大于表技术参数、外形及安装尺寸表1中的输出功率和输出转矩。 |
|
调速范围 |
|
调速范围是指当输入轴转速恒定时,输出轴转速的最大值与最小值之比。即
为使结构紧凑,设计成对称调速,即输入轴传至输出轴时,升速和降速的极限速比相同。例如,当输入轴转速保持720r/min时,输出轴的调速范围为295~1770r/min,则
齿链式无级变速器是通过齿链来传递功率和转矩的,但齿链的许用张力是一个定值。因此,输出轴的输出功率和转矩就要随转速的不同而变化。在作恒功率或恒转矩使用时,应注意使用值不应大于表技术参数、外形及安装尺寸表1中的输出功率和输出转矩。 |