|
选用的一般方法 |
|||
|
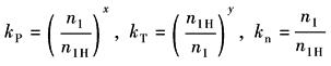
机械无级变速器的种类繁多,从经济观点考虑应尽可能选用标准产品或现有产品,仅当有特殊要求时才进行非标设计。在选用或设计时,应综合考虑实际使用条件和各种变速器的结构和性能特点。使用条件包括:工作机的变速范围;最高和最低输出转速时所需的转矩和功率;最常使用的转速和所需功率;载荷变动情况;使用时间(时/日);升速和降速情况;启、制动频繁程度;有无正、反转向使用要求及其频繁程度;换算到变速器输出轴上的工作机的转动惯量等。对于变速器本身而言,主要是根据机械特性和转速特性来选择其类型,再根据载荷转矩、转速和安装方式和尺寸来选定其型号 (1) 类型选择 首先,应明确机械本身在整个变速范围内对功率或转矩特性的要求,是恒功率型、恒转矩型,还是变功率、变转矩型,可参考表类型、特性和应用示例的机械特性或产品说明书进行选择。如要求扩大功率、扩大调速范围或过零调速时,应选用封闭行星无级变速器 其次,应考虑输出转速特性,是单纯升速型、单纯降速型,还是升、降速型。多数行星式及脉动式无级变速器都具有大幅度降速的输出特性,因而不适于有升速变速要求的场合。链、带及某些变速器具有对称调速(imax=1/imin)的特性,这时输入轴的转速 第三,要考虑安装场地及变速器在机器整体布置中的地位,以确定采用带电机的还是不带电机的,法兰式的还是底座式的,平行轴的、相交轴的还是同轴式的,立式的还是卧式(轴水平布置)的 此外,还应考虑是停车时变速还是运行中调速,调速响应的快慢,手动调速还是远距离自动控制调速,以及运行过程中的振动、噪声、温升和空载功率 (2) 容量选择 选择变速器的容量时,必须明确变速器使用时的输入、输出转速,负载容量及负载条件 标准的无级变速器一般均以某一额定转速n1H(通常为电机额定转速)作为输入转速进行设计与试验,并在产品说明书中给出了功率表或机械特性曲线。当滚动体的许用应力及尺寸给定后,其所能传递的功率大体上与转速呈正比关系,故当实际输入转速低于额定输入转速时,允许传递的功率将减小,而且会带来润滑不充分和变速器操作沉重等问题;反之,当实际输入转速高于额定输入转速时,则允许传递的功率将增大,但搅油损耗、温升、振动和噪声均增大,轴承及摩擦传动件的寿命将降低。当无级变速器的实际输入转速n1不等于产品说明书功率表中的额定输入转速n1H时,其允许的输入功率P1和输出转矩T2及输出转速n2,应在原有功率表的基础上分别乘以折算系数kP、kT和kn,它们的数值可查看有关产品说明书;在产品说明书中无此数据时,可按疲劳等效原则折算,这时:
对于点接触结构,x=0.7、y=0.3;对于线接触结构,x=0.67、y=0.33 各种机械无级变速器均有其特定的机械特性曲线(P2-n2、T2-n2),对应于不同的输出转速范围,所能传递的功率或转矩是不同的。以表机械特性中图所示的7kW菱锥式无级变速器特性曲线为例,当n2=400~2400r/min时P1=7kW,而当n2=380~2650r/min时则P1=6kW,相应的T2也是不同的。通常输入转速越低、变速范围越大,变速器能提供使用的功率和转矩越小 以上情况说明:同一规格的变速器,当使用输入转速不同于变速器的额定输入转速,或输出转速不同时,变速器所能提供的功率或转矩将是不同的。这一点必须充分注意 此外,变速器在整个变速范围内的滑动率ε和传动效率η也是变化的,选用变速器时应使输出转速范围处于传动效率η较高和滑动率ε较低的工作范围内 为了适应高的输入转速或低的输出转速、大的输出转矩,可选用在基本变速器的基础上,前置或后置减速器而形成的孪生型减变速器。若要求扩大传动功率、扩大调速范围或过零调速时,则应采用封闭差动轮系而形成的封闭行星无级变速器。这种变速器目前在国内尚无定型系列产品供应 在具体选用变速器规格时,无论是恒功率型还是恒转矩型,均应使计算转矩Tc和计算功率Pc小于变速器的许用输出转矩Tp和输入功率 恒转矩工况的计算转矩 Tc=KKTT<Tp(N·m) 恒功率工况的计算转矩 Tc=9550KKTP/n2min<Tp(N·m) 计算功率 Pc=Tcn2max/9550<输入功率(kW) 式中,T、P分别为变速器的负载转矩和负载功率;K为变速器的工况(使用)系数,见下表或生产厂的产品说明书;KT为温度系数,环境温度低于30℃时取KT=1,其余见生产厂的产品说明书;n2max、n2min分别为变速器的最高和最低输出转速,r/min |
|||
|
工作状况系数K |
|||
|
负 载 形 式 |
平均每日工作时间/h |
||
|
<8 |
8~16 |
>16 |
|
|
稳定载荷、连续运转、无正反转 |
1.0 |
1.1 |
1.2 |
|
中载荷、有冲击、间断操作、频繁启动、正反转 |
1.3 |
1.4 |
1.5 |
|
重载、强冲击、间断操作、频繁启动、正反转 |
1.7 |
1.9 |
2.0 |
|
本书选录其中部分应用较广、较典型的产品规格、性能参数、外形安装尺寸和选用方法,供选用时参考 |
|||

