|
公法线长度的计算 |
||||
|
圆柱 直齿 轮公 法线 长度 |
计算项目 |
计算公式及说明 |
||
|
渐开线齿轮公法线长度检测 |
圆柱直齿内、外齿轮的公法线长度计算原理见下图
|
|||
|
圆柱直齿轮的公法线长度WK |
|
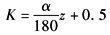
K——跨齿数,可按下式求得:
当α=20°时,K=0.11z+0.5 α=15°时,K=0.08z+0.5 α=14.5°时,K=0.08z+0.5 对以上计算所得的值经四舍五入后取其整数 |
||
|
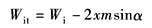
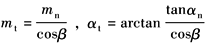
变位直齿轮的公法线长度W'K |
WK按上式计算 |
|||
|
圆柱 斜齿 轮公 法线 长度 |
斜齿轮的法向公法线长度 |
先按直齿轮公法线长度计算公式求得端面的公法线长度WKt,而后按端、法面之间的几何关系,求得
式中,βb为基圆柱上的螺旋角,
在以上各式中代入法向模数,则WKn可按下式计算:
|
||
|
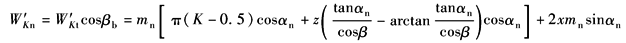
变位斜齿轮的端面公法线长度 |
而法向公法线长度W'Kn,可利用基圆柱上螺旋角的关系计算如下:
|
|||
|
内啮 合直 齿轮 公法 线长 度 |
标准直齿内齿轮公法线长度Wi |
与外啮合圆柱直齿轮公法线长度的计算方法基本相同,即仍按式WK=[(K-0.5)π+z×invα]mcosα |
||
|
变位直齿内齿轮的Wi |
|
仅将变位直齿轮的公法线长度W'K算式末项前的运算符号易号 |
||
|
内啮 合斜 齿轮 公法 线长 度 |
与外啮合圆柱斜齿轮公法线长度的计算方法基本相同,按直齿轮公法线长度计算式WK=[(K-0.5)π+zxinvα]mcosα求得斜齿轮端面公法线长度Wit。但变位直齿内齿轮的Wi,应将式W'K=WK+2xmsinα末项前的运算符号易号,即
由于内斜齿轮法向公法线长度不便进行直接测量,一般多在万能工具显微镜上进行端面公法线长度Wit测量 |
|||


