|
点线啮合齿轮传动的参数选择 |
||||||
|
点线啮合齿轮传动的参数选择比渐开线齿轮传动复杂,各参数之间有密切关系,又相互制约。主要的参数有:法向模数mn、齿数z、端面重合度εα、纵向重合度εβ、齿宽系数ψa或ψd以及变位系数x2(或x1)和分度圆柱螺旋角β。其中x2和β必须从封闭图中选取 模数mn的选择 齿轮的模数mn取决于齿轮轮齿的弯曲承载能力计算。只要轮齿的弯曲强度满足,齿轮的模数取得小一点较好。对齿轮的胶合也有好处 通常可取mn=(0.01~0.03)a。式中a为中心距。对于大中心距、载荷平稳、工作连续的传动,mn可取较小值;对于小中心距、载荷不稳、间断工作的传动,mn可取较大值。对于高速传动,为了增加传动的平稳性,mn可取较小值。对于轧钢机人字齿轮座等有尖峰载荷的场合,可取mn=(0.025~0.04)a。所取的mn应取标准值。在一般情况下mn=0.02a 齿数的选择 齿数的选择应与模数统一考虑,在中心距一定的情况下,增加齿数减小模数则增加重合度,另一方面模数减小则可减小点线啮合齿轮相对滑动,对胶合有好处。因此,在满足强度的条件下,选择齿数多些为好。点线啮合齿轮的最少齿数可取到zmin=2~4,一般为了滚齿加工方便,可取z1≥8,磨齿加工随磨齿机磨削最少齿数而定,一般可取z1≥11,在中心距不变的情况下,如果模数不变,小齿轮齿数减少就可以增大传动比。可以将4级传动改为3级传动或者3级传动改为2级传动。当然取较少齿数时,要考虑轴的强度。另一方面在中心距一定,传动比不变的情况下,齿数减少模数增大,则可以提高弯曲强度,提高承载能力,这对于间断工作或硬齿面齿轮传动是有利的 重合度 点线啮合齿轮与渐开线齿轮一样,除了有端面重合度εα以外,还有轴向重合度εβ,通常要使轴向重度εβ≥1,这样传动更平稳。一般要使总重合度εγ=εα+εβ>1.25,最好要使εγ≥2.25。若要求噪声特别低时,可使εα≥2 齿宽系数 对于通用齿轮箱通常取ψa=b/a,其标准有:0.2、0.25、0.3、0.35、0.4、0.45、0.5、0.6。对于中硬齿面与硬 齿面通用齿轮箱,通常可取齿宽系数ψa=0.35,0.4;对于软齿面通用齿轮箱可取ψa=0.4。若要采用ψd= 则ψd=0.5(1+i)ψa 螺旋角β的选择 螺旋角β的选择比较复杂,它与大齿轮的变位系数x2有关,必须与封闭图配合选取,在不同的β、x2下就可以得到不同的尺寸,以至于影响到齿轮强度的大小和磨损的程度。一般来说螺旋角β大些,则可增加纵向重合度,对传动平稳性有利,但轴向力增大。通常β=8°~30°的范围内选取。对于多级传动,应使低速级的螺旋角β小于高速级的螺旋角β,这样就可使低速级的轴向力不至于过大 点线啮合齿轮的螺旋角β的具体选择与渐开线齿轮不同。渐开线齿轮为了使每个中心距的齿数和为常数,如ZQ减速器的β选择为8°6' 34",齿数和zc=99,有些齿轮考虑强度的问题选用优化参数9°22',有的选择整数角度如12°,13°等。但是这些角度的选择均没有考虑滚齿加工、差动挂轮的误差,造成螺旋线的误差,齿长方向接触很难达到100%。点线啮合齿轮螺旋角的选用与它们不同,在滚齿的时候,考虑差动挂轮的误差,以及考虑大小齿轮在不同的滚齿机上滚切时差动挂轮的误差。表1的螺旋角就是考虑滚齿机差动挂轮而得到的,如果按表1选取螺旋角,保证在同一台滚齿机上或者两台滚齿机差动挂轮搭配成相同的螺旋角或误差最小,在箱体平行度保证的情况下,齿长方向接触可达到100%,部分滚齿机的差动挂轮,i差的计算参看表2 |
||||||
|
表1 螺旋角β与k值 |
||||||
|
k |
β |
k |
β |
k |
β |
|
|
40 |
7°13' 09" |
82 |
55' 42" |
124 |
55' 37" |
|
|
41 |
24' 02" |
83 |
15°06' 53" |
125 |
23°07' 21" |
|
|
42 |
34' 56" |
84 |
18' 04" |
126 |
19' 06" |
|
|
43 |
45' 50" |
85 |
29' 17" |
127 |
30' 52" |
|
|
44 |
56' 44" |
86 |
40' 29" |
128 |
42' 40" |
|
|
45 |
8°07' 38" |
87 |
51' 43" |
129 |
54' 28" |
|
|
46 |
18' 33" |
88 |
16°02' 57" |
130 |
24°06' 17" |
|
|
47 |
27' 28" |
89 |
14' 11" |
131 |
18' 08" |
|
|
48 |
40' 23" |
90 |
25' 27" |
132 |
29' 59" |
|
|
49 |
51' 19" |
91 |
36' 42" |
133 |
41' 52" |
|
|
50 |
9°02' 15" |
92 |
47' 59" |
134 |
53' 46" |
|
|
51 |
13' 11" |
93 |
59' 16" |
135 |
25°05' 41" |
|
|
52 |
24' 08" |
94 |
17°10' 34" |
136 |
17' 37" |
|
|
53 |
35' 05" |
95 |
21' 53" |
137 |
29' 34" |
|
|
54 |
46' 02" |
96 |
33' 12" |
138 |
41' 33" |
|
|
55 |
57' |
97 |
44' 32" |
139 |
53' 32" |
|
|
56 |
10°07' 58" |
98 |
55' 53" |
140 |
26°05' 33" |
|
|
57 |
18' 56" |
99 |
18°07' 14" |
141 |
17' 35" |
|
|
58 |
29' 55" |
100 |
18' 36" |
142 |
29' 39" |
|
|
59 |
40' 54" |
101 |
29' 59" |
143 |
41' 44" |
|
|
60 |
51' 54" |
102 |
41' 23" |
144 |
53' 50" |
|
|
61 |
11°02' 54" |
103 |
52' 47" |
145 |
27°05' 57" |
|
|
62 |
13' 54" |
104 |
19°04' 13" |
146 |
18' 05" |
|
|
63 |
24' 55" |
105 |
15' 39" |
147 |
30' 15" |
|
|
64 |
35' 57" |
106 |
27' 05" |
148 |
42' 27" |
|
|
65 |
46' 58" |
107 |
38' 33" |
149 |
54' 39" |
|
|
66 |
58' 01" |
108 |
50' 01" |
150 |
28°06' 53" |
|
|
67 |
12°09' 03" |
109 |
20°02' 31" |
151 |
19' 09" |
|
|
68 |
20' 06" |
110 |
13' 01" |
152 |
31' 25" |
|
|
69 |
31' 10" |
111 |
24' 32" |
153 |
43' 35" |
|
|
70 |
42' 14" |
112 |
36' 04" |
154 |
56' 03" |
|
|
71 |
53' 18" |
113 |
47' 36" |
155 |
29°08' 24" |
|
|
72 |
13°04' 23" |
114 |
59' 10" |
156 |
20' 47" |
|
|
73 |
15' 29" |
115 |
21°10' 44" |
157 |
33' 11" |
|
|
74 |
26' 35" |
116 |
22' 20" |
158 |
45' 37" |
|
|
75 |
37' 41" |
117 |
33' 56" |
159 |
58' 04" |
|
|
76 |
48' 48" |
118 |
45' 33" |
160 |
30°10' 33" |
|
|
77 |
59' 56" |
119 |
57' 12" |
161 |
23' 03" |
|
|
78 |
14°11' 04" |
120 |
22°08' 51" |
162 |
35' 35" |
|
|
79 |
22' 13" |
121 |
20' 31" |
163 |
48' 09" |
|
|
80 |
33' 22" |
122 |
32' 12" |
|
|
|
|
81 |
44' 32" |
123 |
43' 54" |
|
|
|
|
表2 差动挂轮的计算 |
||||||
|
机床型号 |
原差动挂轮计算公式i差 |
“k”值差动挂轮计算公式ik |
||||
|
Y38,Y38A |
|
|
||||
|
YZ3132,YA3180,YW3180 |
|
|
||||
|
Y38-1 |
|
|
||||
|
Y3180 |
|
|
||||
|
Y3215 |
|
|
||||
|
Y3180H,YB3180H,Y3150E,YM3180H,YB3150E等 |
|
|
||||
|
Y3150 |
|
|
||||
|
YM3120H |
|
|
||||
|
YBA3132 |
|
|
||||
|
YBA3120 |
|
|
||||
|
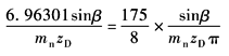
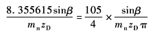
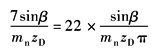
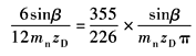
注:zD—滚刀头数。 例:已知mn=6,β=14°44' 2",k=81,Y38A滚齿机上加工,滚刀头数zD=1,试计算Y38A差动挂轮。 解:由上表知,Y38A的 若大齿轮在Y3180H上加工,试计算Y3180H差动挂轮。Y3180H的 |
||||||










